Laatste update :
18/03/2026
Antibioticum   Daptomycin  
injecteerbaar geneesmiddel
Stabiliteit in oplossing Stabiliteit in mengsels Factoren die de stabiliteit beïnvloeden Verenigbaarheden Toedieningswijze Literatuur pdf
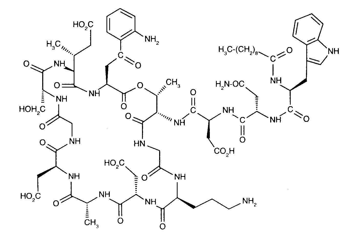
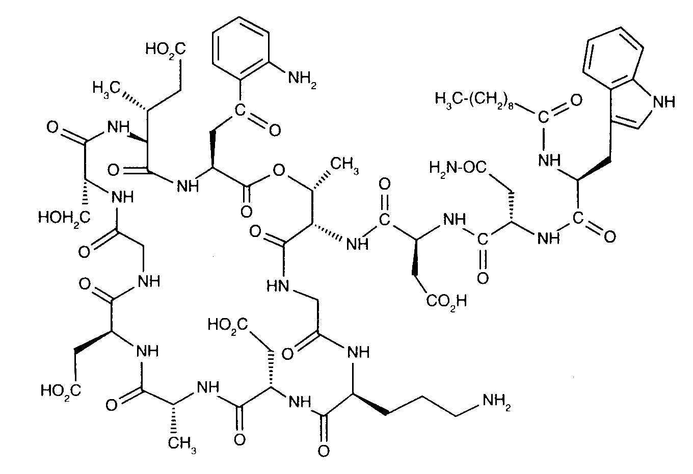
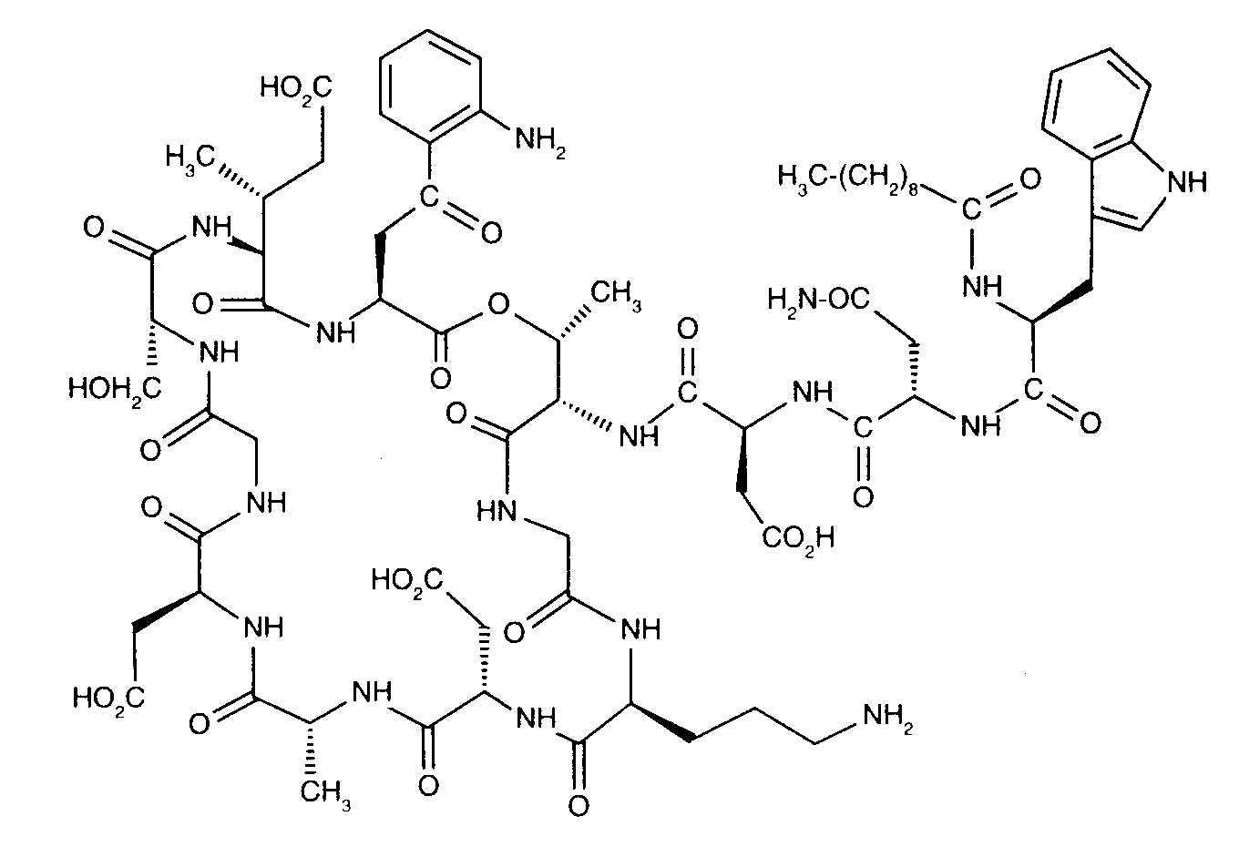
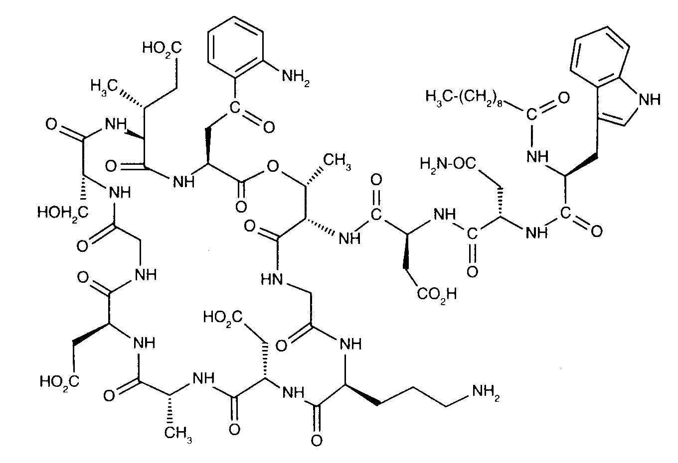
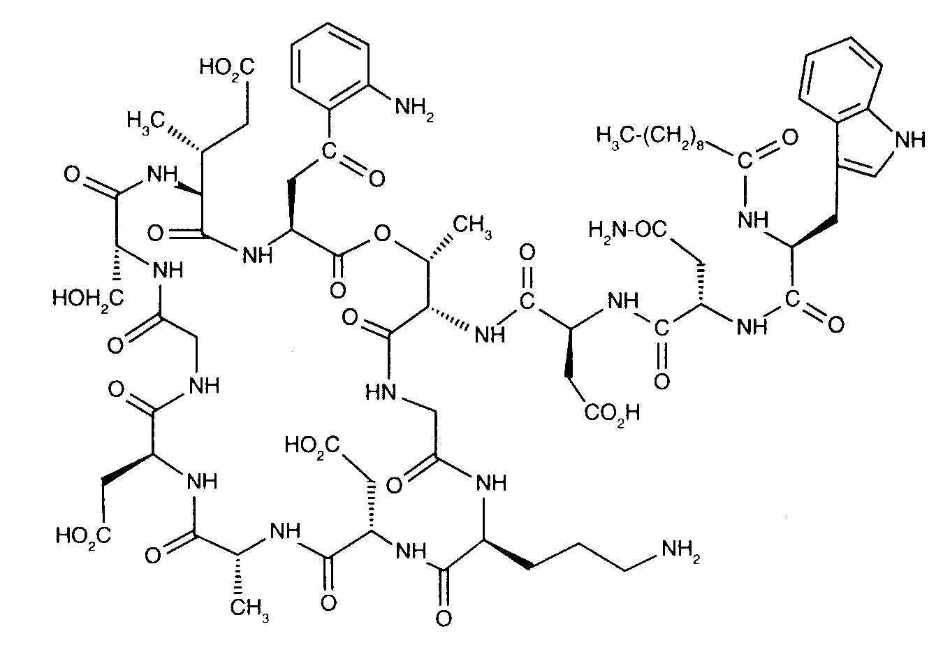
   Molecuulstructuur  

Merknamen in verschillende landen   Merknamen in verschillende landen     

Handelsnamen zijn slechts een indicatie; de samenstelling van hulpstoffen kan per land variëren afhankelijk van de fabrikant

Cubicin Argentinië, Australië, Canada, Chili, Colombia, Denemarken, Duitsland, Finland, Frankrijk, Griekenland, Groot Britannië, Hongarije, Ierland, IJsland, Indië, Italië, Japan, Maleisië, Mexico, Nederland, nieuw Zeeland, Noorwegen, Oostenrijk, Polen, Portugal, Roemenië, Spanje, Turkije, USA, Venezuela, Zweden, Zwitserland
Daptomicina Argentinië, Italië, Spanje
Daptomicine Duitsland, Finland, Groot Britannië, Hongarije, Noorwegen
Exfuno Brazilië, Chili
Stenkivar Nigeria
Trisk Brazilië
Stabiliteit in oplossing   injecteerbaar geneesmiddel   Stabiliteit in oplossing : Daptomycin     
Verpakking Oplosmiddel Concentratie Temperatuur Bewaring Duur van de stabiliteit Literatuur
Glas Water voor injectie 50 mg/ml 2-8°C Niet gespecificeerd
48 Uur
2271
Stabiliteitsgegevens van de fabrikant

Glas Water voor injectie 50 mg/ml 25°C Niet gespecificeerd
12 Uur
2271
Stabiliteitsgegevens van de fabrikant

Glas Natriumchloride 0,9% 50 mg/ml 2-8°C Niet gespecificeerd
48 Uur
2271
Stabiliteitsgegevens van de fabrikant

Glas Natriumchloride 0,9% 50 mg/ml 2-8°C Buiten invloed van licht
7 Dag
4074
Bewijsniveau C

Glas Natriumchloride 0,9% 50 mg/ml 25°C Niet gespecificeerd
12 Uur
2271
Stabiliteitsgegevens van de fabrikant

Glas Natriumchloride 0,9% 50 mg/ml 25°C Buiten invloed van licht
2 Dag
4074
Bewijsniveau C

Glas Physionéal® 1.36 (Baxter) 100 mg/ml 25°C Buiten invloed van licht
6 Uur
3218
Bewijsniveau D

Glas Physionéal® 1.36 (Baxter) 100 mg/ml 37°C Buiten invloed van licht
6 Uur
3218
Bewijsniveau D

Glas Physionéal® 1.36 (Baxter) 100 mg/ml 4°C Buiten invloed van licht
24 Uur
3218
Bewijsniveau D

Polyvinylchloride (PVC) Extraneal® (Baxter) 0,070 mg/ml 25°C Niet gespecificeerd
24 Uur
4936
Bewijsniveau D

Polyvinylchloride (PVC) Extraneal® (Baxter) 0,245 mg/ml 25°C Niet gespecificeerd
48 Uur
4936
Bewijsniveau D

Polyvinylchloride (PVC) Nutrineal® 50 & 200 mg/ml 37°C Buiten invloed van licht
6 Uur
3218
Bewijsniveau D

Polyvinylchloride (PVC) Nutrineal® 50 & 200 mg/ml 4°C Buiten invloed van licht
24 Uur
3218
Bewijsniveau D

Polyvinylchloride (PVC) Physionéal® 1.36 (Baxter) 0.02 mg/ml 25°C Niet gespecificeerd
24 Uur
3439
Bewijsniveau D

Polyvinylchloride (PVC) Physionéal® 1.36 (Baxter) 0.02 mg/ml 37°C Niet gespecificeerd
6 Uur
3439
Bewijsniveau D

Polyvinylchloride (PVC) Physionéal® 1.36 (Baxter) 50 & 200 mg/ml 25°C Buiten invloed van licht
6 Uur
3218
Bewijsniveau D

Polyvinylchloride (PVC) Physionéal® 1.36 (Baxter) 50 & 200 mg/ml 37°C Buiten invloed van licht
6 Uur
3218
Bewijsniveau D

Polyvinylchloride (PVC) Physionéal® 1.36 (Baxter) 50 & 200 mg/ml 4°C Buiten invloed van licht
24 Uur
3218
Bewijsniveau D

Polyvinylchloride (PVC) Physionéal® 2.27 (Baxter) 0.02 mg/ml 25°C Niet gespecificeerd
24 Uur
3439
Bewijsniveau D

Polyvinylchloride (PVC) Physionéal® 2.27 (Baxter) 0.02 mg/ml 37°C Niet gespecificeerd
6 Uur
3439
Bewijsniveau D

Polyvinylchloride (PVC) Dianéal® 2.5% glucose (Baxter) 0,070 mg/ml 25°C Niet gespecificeerd
24 Uur
4936
Bewijsniveau D

Polyvinylchloride (PVC) Dianéal® 2.5% glucose (Baxter) 0,245 mg/ml 25°C Niet gespecificeerd
12 Uur
4936
Bewijsniveau D

Polypropyleen (PP) Natriumchloride 0,9% 14 mg/ml 2-8°C Buiten invloed van licht
7 Dag
4074
Bewijsniveau C

Polypropyleen (PP) Natriumchloride 0,9% 14 mg/ml 25°C Buiten invloed van licht
4 Dag
4074
Bewijsniveau C

Polypropyleen (PP) Natriumchloride 0,9% 5,6 mg/ml 2-8°C Buiten invloed van licht
7 Dag
4074
Bewijsniveau C

Polypropyleen (PP) Natriumchloride 0,9% 5,6 mg/ml 25°C Buiten invloed van licht
2 Dag
4074
Bewijsniveau C

Niet gespecificeerd Natriumchloride 0,9% ? mg/ml 2-8°C Niet gespecificeerd
24 Uur
2271
Stabiliteitsgegevens van de fabrikant

Niet gespecificeerd Natriumchloride 0,9% ? mg/ml 25°C Niet gespecificeerd
12 Uur
2271
Stabiliteitsgegevens van de fabrikant


  Mentions Légales