Utolsó frissítés :
18/03/2026
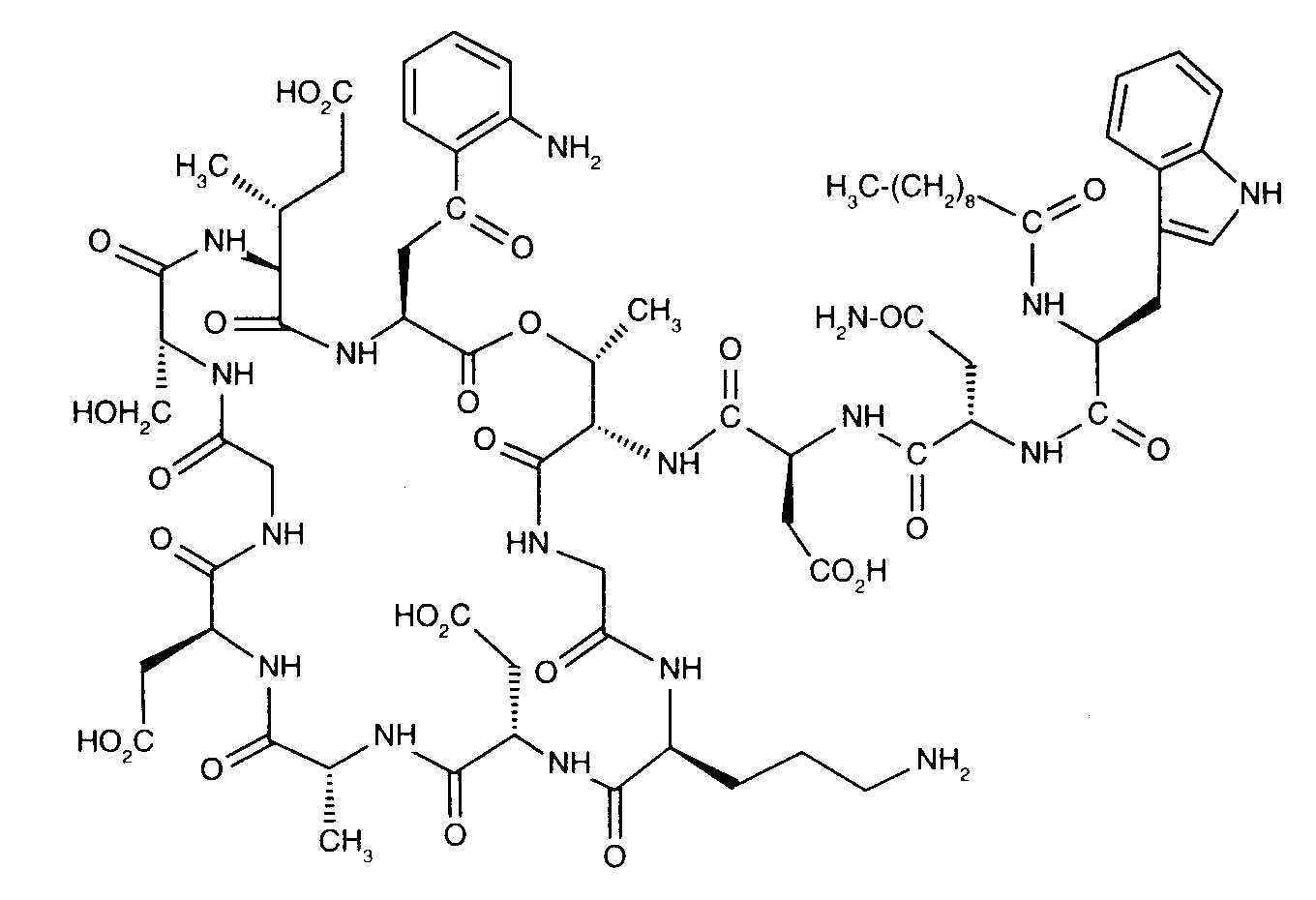
Antibiotikum   Daptomycin  
Injekció
Az oldatok stabilitása A keverékek stabilitása Stabilitást befolyásoló tényezők Kompatibilitás Az alkalmazás módja Irodalom pdf
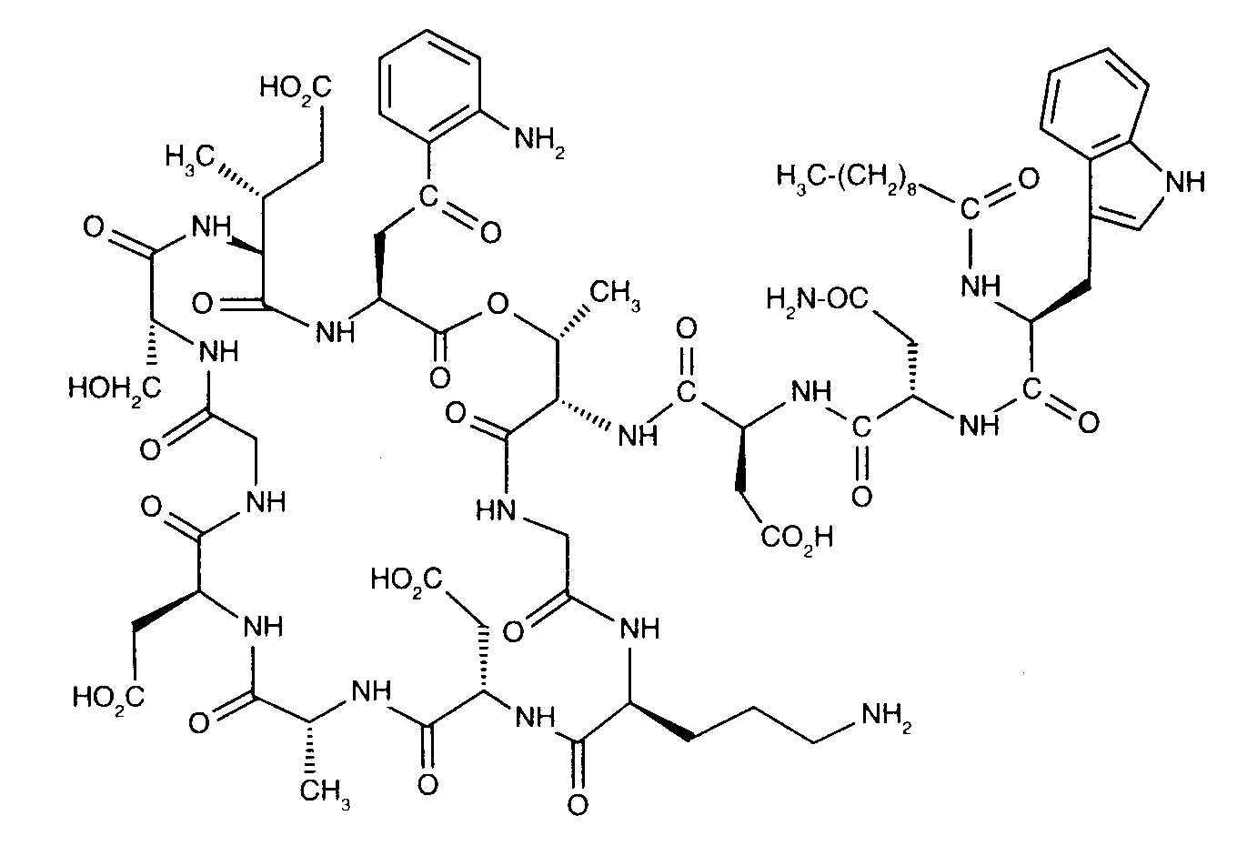
   Kémiai szerkezet   

Kereskedelmi név   Kereskedelmi név     

A kereskedelmi név meghatározó jelentőségű: a készítmények összetétele országonként, előállítóként eltérő lehet

Cubicin Amerikai Egyesült Államok, Argentína, Ausztrália, Ausztria, Chile, Colombia, Dánia, Finnország, Franciaország, Görögország, Hollandia, India, Írország, Izland, Japán, Kanada, Lengyelország, Magyarország, Malaysia, Mexikó, Nagy-Britannia, Németország, Norvégia, Olaszország, Portugália, Románia, Spanyolország, Svájc, Svédország, Törökország, új-Zéland, Venezuela
Daptomicina Argentína, Olaszország, Spanyolország
Daptomicine Finnország, Magyarország, Nagy-Britannia, Németország, Norvégia
Exfuno Brazília, Chile
Stenkivar Nigéria
Trisk Brazília
Az oldatok stabilitása   Injekció   Az oldatok stabilitása : Daptomycin     
Csomagolás Oldószer Koncentráció Hőmérséklet Tárolás A stabilitás időtartama Irodalom
Üveg Injekcióhoz való víz 50 mg/ml 2-8°C Nincs meghatározva
48 Óra
2271
Gyártó stabilitási adatokra

Üveg Injekcióhoz való víz 50 mg/ml 25°C Nincs meghatározva
12 Óra
2271
Gyártó stabilitási adatokra

Üveg 0,9% nátrium-klorid 50 mg/ml 2-8°C Nincs meghatározva
48 Óra
2271
Gyártó stabilitási adatokra

Üveg 0,9% nátrium-klorid 50 mg/ml 2-8°C Fénytől védve tartandó
7 Nap
4074
Szintű bizonyítékot C

Üveg 0,9% nátrium-klorid 50 mg/ml 25°C Nincs meghatározva
12 Óra
2271
Gyártó stabilitási adatokra

Üveg 0,9% nátrium-klorid 50 mg/ml 25°C Fénytől védve tartandó
2 Nap
4074
Szintű bizonyítékot C

Üveg Physionéal® 1.36 (Baxter) 100 mg/ml 25°C Fénytől védve tartandó
6 Óra
3218
Szintű bizonyítékot D

Üveg Physionéal® 1.36 (Baxter) 100 mg/ml 37°C Fénytől védve tartandó
6 Óra
3218
Szintű bizonyítékot D

Üveg Physionéal® 1.36 (Baxter) 100 mg/ml 4°C Fénytől védve tartandó
24 Óra
3218
Szintű bizonyítékot D

Poli(vinilklorid) Extraneal® (Baxter) 0,070 mg/ml 25°C Nincs meghatározva
24 Óra
4936
Szintű bizonyítékot D

Poli(vinilklorid) Extraneal® (Baxter) 0,245 mg/ml 25°C Nincs meghatározva
48 Óra
4936
Szintű bizonyítékot D

Poli(vinilklorid) Nutrineal® 50 & 200 mg/ml 37°C Fénytől védve tartandó
6 Óra
3218
Szintű bizonyítékot D

Poli(vinilklorid) Nutrineal® 50 & 200 mg/ml 4°C Fénytől védve tartandó
24 Óra
3218
Szintű bizonyítékot D

Poli(vinilklorid) Physionéal® 1.36 (Baxter) 0.02 mg/ml 25°C Nincs meghatározva
24 Óra
3439
Szintű bizonyítékot D

Poli(vinilklorid) Physionéal® 1.36 (Baxter) 0.02 mg/ml 37°C Nincs meghatározva
6 Óra
3439
Szintű bizonyítékot D

Poli(vinilklorid) Physionéal® 1.36 (Baxter) 50 & 200 mg/ml 25°C Fénytől védve tartandó
6 Óra
3218
Szintű bizonyítékot D

Poli(vinilklorid) Physionéal® 1.36 (Baxter) 50 & 200 mg/ml 37°C Fénytől védve tartandó
6 Óra
3218
Szintű bizonyítékot D

Poli(vinilklorid) Physionéal® 1.36 (Baxter) 50 & 200 mg/ml 4°C Fénytől védve tartandó
24 Óra
3218
Szintű bizonyítékot D

Poli(vinilklorid) Physionéal® 2.27 (Baxter) 0.02 mg/ml 25°C Nincs meghatározva
24 Óra
3439
Szintű bizonyítékot D

Poli(vinilklorid) Physionéal® 2.27 (Baxter) 0.02 mg/ml 37°C Nincs meghatározva
6 Óra
3439
Szintű bizonyítékot D

Poli(vinilklorid) Dianéal® 2.5% glucose (Baxter) 0,070 mg/ml 25°C Nincs meghatározva
24 Óra
4936
Szintű bizonyítékot D

Poli(vinilklorid) Dianéal® 2.5% glucose (Baxter) 0,245 mg/ml 25°C Nincs meghatározva
12 Óra
4936
Szintű bizonyítékot D

Polipropilén 0,9% nátrium-klorid 14 mg/ml 2-8°C Fénytől védve tartandó
7 Nap
4074
Szintű bizonyítékot C

Polipropilén 0,9% nátrium-klorid 14 mg/ml 25°C Fénytől védve tartandó
4 Nap
4074
Szintű bizonyítékot C

Polipropilén 0,9% nátrium-klorid 5,6 mg/ml 2-8°C Fénytől védve tartandó
7 Nap
4074
Szintű bizonyítékot C

Polipropilén 0,9% nátrium-klorid 5,6 mg/ml 25°C Fénytől védve tartandó
2 Nap
4074
Szintű bizonyítékot C

Nincs meghatározva 0,9% nátrium-klorid ? mg/ml 2-8°C Nincs meghatározva
24 Óra
2271
Gyártó stabilitási adatokra

Nincs meghatározva 0,9% nátrium-klorid ? mg/ml 25°C Nincs meghatározva
12 Óra
2271
Gyártó stabilitási adatokra


  Mentions Légales