Last update :
18/03/2026
Antibiotic   Daptomycin  
injection
Stability in solutions Stability of mixtures Factors which affect stability Compatibility Route of administration References pdf
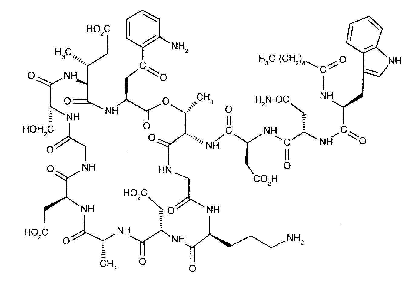
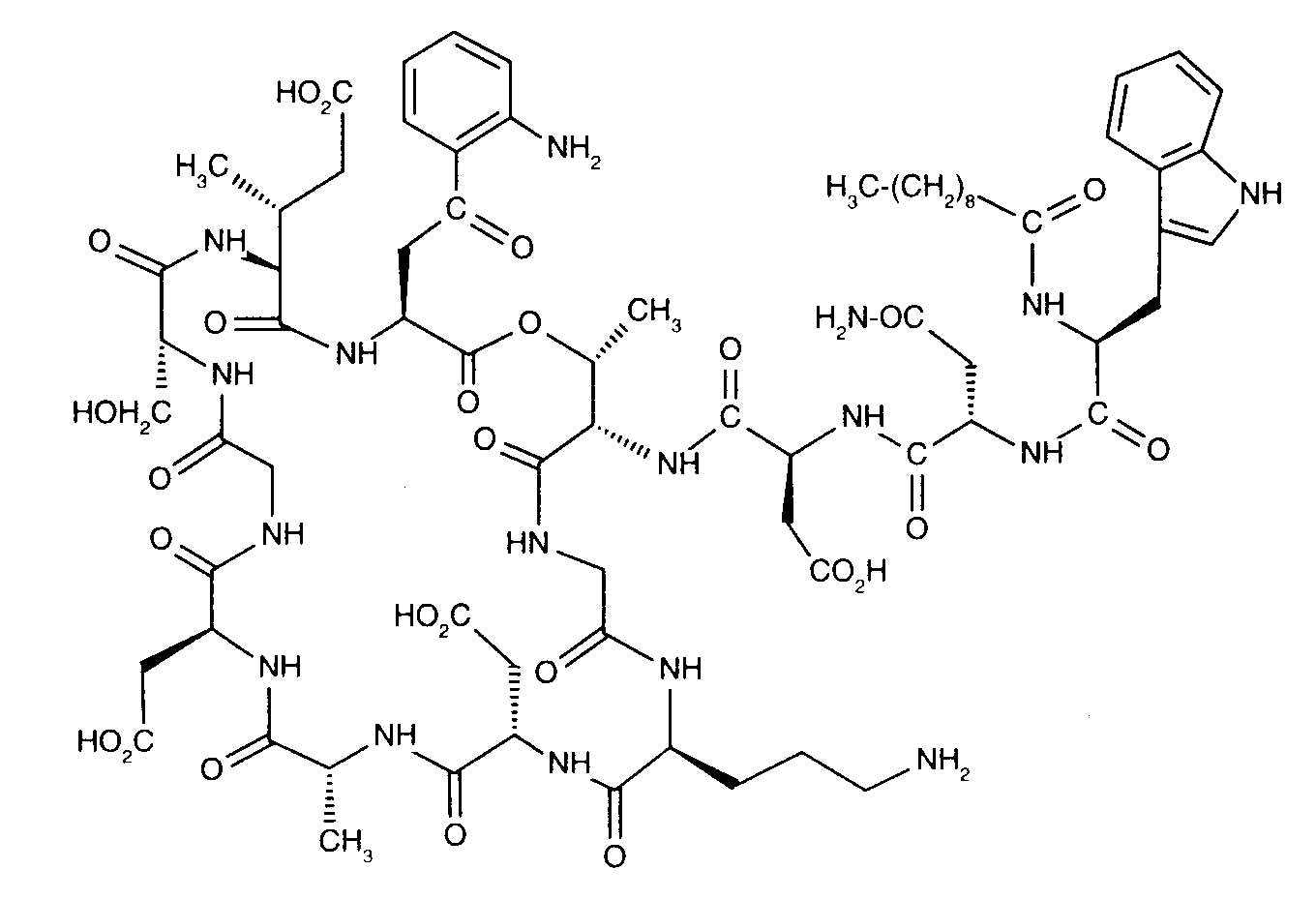
   Chemical structure  

Tradename   Tradename     

Trade names are indicative and excipients composition can be different depending on the country and manufacturers

Cubicin Argentina, Australia, Austria, Canada, Chile, Colombia, Denmark, Finland, France, Germany, Great Britain, Greece, Hungary, Iceland, India, Ireland, Italy, Japan, Malaysia, Mexico, Netherlands, New Zealand, Norway, Poland, Portugal, Romania, Spain, Sweden, Switzerland, Turkey, United States of America, Venezuela
Daptomicina Argentina, Italy, Spain
Daptomicine Finland, Germany, Great Britain, Hungary, Norway
Exfuno Brazil, Chile
Stenkivar Nigeria
Trisk Brazil
Stability in solutions   injection   Stability in solutions : Daptomycin     
Container Solvent Concentration Temperature Storage Duration of stability References
Glass Water for Injection 50 mg/ml 2-8°C Not specified
48 Hour
2271
Manufacturer's stability data

Glass Water for Injection 50 mg/ml 25°C Not specified
12 Hour
2271
Manufacturer's stability data

Glass Sodium chloride 0,9% 50 mg/ml 2-8°C Not specified
48 Hour
2271
Manufacturer's stability data

Glass Sodium chloride 0,9% 50 mg/ml 2-8°C Protect from light
7 Day
4074
Level of evidence C

Glass Sodium chloride 0,9% 50 mg/ml 25°C Not specified
12 Hour
2271
Manufacturer's stability data

Glass Sodium chloride 0,9% 50 mg/ml 25°C Protect from light
2 Day
4074
Level of evidence C

Glass Physionéal® 1.36 (Baxter) 100 mg/ml 25°C Protect from light
6 Hour
3218
Level of evidence D

Glass Physionéal® 1.36 (Baxter) 100 mg/ml 37°C Protect from light
6 Hour
3218
Level of evidence D

Glass Physionéal® 1.36 (Baxter) 100 mg/ml 4°C Protect from light
24 Hour
3218
Level of evidence D

Polyvinyl chloride Extraneal® (Baxter) 0,070 mg/ml 25°C Not specified
24 Hour
4936
Level of evidence D

Polyvinyl chloride Extraneal® (Baxter) 0,245 mg/ml 25°C Not specified
48 Hour
4936
Level of evidence D

Polyvinyl chloride Nutrineal® 50 & 200 mg/ml 37°C Protect from light
6 Hour
3218
Level of evidence D

Polyvinyl chloride Nutrineal® 50 & 200 mg/ml 4°C Protect from light
24 Hour
3218
Level of evidence D

Polyvinyl chloride Physionéal® 1.36 (Baxter) 0.02 mg/ml 25°C Not specified
24 Hour
3439
Level of evidence D

Polyvinyl chloride Physionéal® 1.36 (Baxter) 0.02 mg/ml 37°C Not specified
6 Hour
3439
Level of evidence D

Polyvinyl chloride Physionéal® 1.36 (Baxter) 50 & 200 mg/ml 25°C Protect from light
6 Hour
3218
Level of evidence D

Polyvinyl chloride Physionéal® 1.36 (Baxter) 50 & 200 mg/ml 37°C Protect from light
6 Hour
3218
Level of evidence D

Polyvinyl chloride Physionéal® 1.36 (Baxter) 50 & 200 mg/ml 4°C Protect from light
24 Hour
3218
Level of evidence D

Polyvinyl chloride Physionéal® 2.27 (Baxter) 0.02 mg/ml 25°C Not specified
24 Hour
3439
Level of evidence D

Polyvinyl chloride Physionéal® 2.27 (Baxter) 0.02 mg/ml 37°C Not specified
6 Hour
3439
Level of evidence D

Polyvinyl chloride Dianéal® 2.5% glucose (Baxter) 0,070 mg/ml 25°C Not specified
24 Hour
4936
Level of evidence D

Polyvinyl chloride Dianéal® 2.5% glucose (Baxter) 0,245 mg/ml 25°C Not specified
12 Hour
4936
Level of evidence D

Polypropylene Sodium chloride 0,9% 14 mg/ml 2-8°C Protect from light
7 Day
4074
Level of evidence C

Polypropylene Sodium chloride 0,9% 14 mg/ml 25°C Protect from light
4 Day
4074
Level of evidence C

Polypropylene Sodium chloride 0,9% 5,6 mg/ml 2-8°C Protect from light
7 Day
4074
Level of evidence C

Polypropylene Sodium chloride 0,9% 5,6 mg/ml 25°C Protect from light
2 Day
4074
Level of evidence C

Not specified Sodium chloride 0,9% ? mg/ml 2-8°C Not specified
24 Hour
2271
Manufacturer's stability data

Not specified Sodium chloride 0,9% ? mg/ml 25°C Not specified
12 Hour
2271
Manufacturer's stability data


  Mentions Légales