Seneste opdatering :
17/12/2025
Antibiotisk   Daptomycin  
Injektion
Stabilitet i (vandige) opløsninger Stabilitet i blandinger Faktorer der påvirker stabiliteten Kompatibilitet Administrationsvej Bibliografi pdf
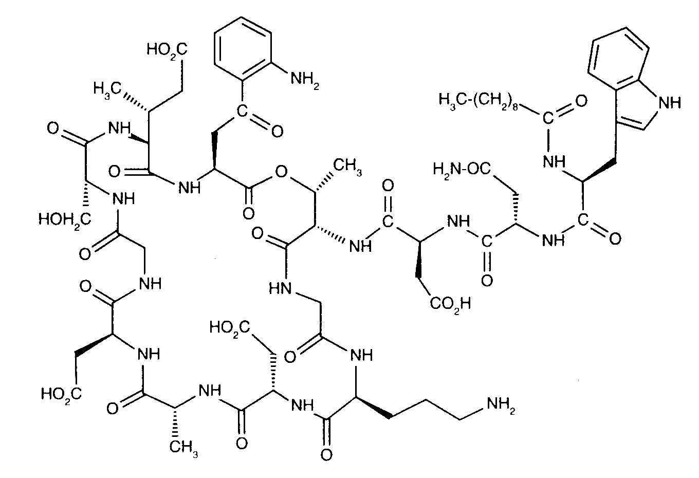
   Kemisk struktur  

Handelsnavn   Handelsnavn     

Handel navne er vejledende og hjælpestoffer sammensætning kan være forskellig afhængigt af landet og laboratorier

Cubicin Argentina, Australien, Canada, Chile, Colombia, Danmark, Finland, Frankrig, Grækenland, Holland, Indien, Irland, Island, Italien, Japan, Malaysia, Mexico, New Zealand, Norge, Polen, Portugal, Rumænien, Schweiz, Spanien, Storbritanien, Sverige, Tyrkiet, Tyskland, Ungarn, USA, Venezuela, Østrig
Daptomicina Argentina, Italien, Spanien
Daptomicine Finland, Norge, Storbritanien, Tyskland, Ungarn
Exfuno Brasilien, Chile
Stenkivar Nigeria
Trisk Brasilien
Stabilitet i (vandige) opløsninger   Injektion   Stabilitet i (vandige) opløsninger : Daptomycin     
Beholder Opløsningsmiddel Koncentration Temperatur Konservering Varighed af stabilitet Bibliografi
Glas Vand til injektion 50 mg/ml 2-8°C Ikke nærmere angivet
48 Time
2271
Producentens stabilitet data

Glas Vand til injektion 50 mg/ml 25°C Ikke nærmere angivet
12 Time
2271
Producentens stabilitet data

Glas 0,9 % Natriumklorid 50 mg/ml 2-8°C Ikke nærmere angivet
48 Time
2271
Producentens stabilitet data

Glas 0,9 % Natriumklorid 50 mg/ml 2-8°C Beskyt mod lys
7 Dag
4074
Level af bevismateriale C

Glas 0,9 % Natriumklorid 50 mg/ml 25°C Ikke nærmere angivet
12 Time
2271
Producentens stabilitet data

Glas 0,9 % Natriumklorid 50 mg/ml 25°C Beskyt mod lys
2 Dag
4074
Level af bevismateriale C

Glas Physionéal® 1.36 (Baxter) 100 mg/ml 25°C Beskyt mod lys
6 Time
3218
Level af bevismateriale D

Glas Physionéal® 1.36 (Baxter) 100 mg/ml 37°C Beskyt mod lys
6 Time
3218
Level af bevismateriale D

Glas Physionéal® 1.36 (Baxter) 100 mg/ml 4°C Beskyt mod lys
24 Time
3218
Level af bevismateriale D

Polyvinylklorid Extraneal® (Baxter) 0,070 mg/ml 25°C Ikke nærmere angivet
24 Time
4936
Level af bevismateriale D

Polyvinylklorid Extraneal® (Baxter) 0,245 mg/ml 25°C Ikke nærmere angivet
48 Time
4936
Level af bevismateriale D

Polyvinylklorid Nutrineal® 50 & 200 mg/ml 37°C Beskyt mod lys
6 Time
3218
Level af bevismateriale D

Polyvinylklorid Nutrineal® 50 & 200 mg/ml 4°C Beskyt mod lys
24 Time
3218
Level af bevismateriale D

Polyvinylklorid Physionéal® 1.36 (Baxter) 0.02 mg/ml 25°C Ikke nærmere angivet
24 Time
3439
Level af bevismateriale D

Polyvinylklorid Physionéal® 1.36 (Baxter) 0.02 mg/ml 37°C Ikke nærmere angivet
6 Time
3439
Level af bevismateriale D

Polyvinylklorid Physionéal® 1.36 (Baxter) 50 & 200 mg/ml 25°C Beskyt mod lys
6 Time
3218
Level af bevismateriale D

Polyvinylklorid Physionéal® 1.36 (Baxter) 50 & 200 mg/ml 37°C Beskyt mod lys
6 Time
3218
Level af bevismateriale D

Polyvinylklorid Physionéal® 1.36 (Baxter) 50 & 200 mg/ml 4°C Beskyt mod lys
24 Time
3218
Level af bevismateriale D

Polyvinylklorid Physionéal® 2.27 (Baxter) 0.02 mg/ml 25°C Ikke nærmere angivet
24 Time
3439
Level af bevismateriale D

Polyvinylklorid Physionéal® 2.27 (Baxter) 0.02 mg/ml 37°C Ikke nærmere angivet
6 Time
3439
Level af bevismateriale D

Polyvinylklorid Dianéal® 2.5% glucose (Baxter) 0,070 mg/ml 25°C Ikke nærmere angivet
24 Time
4936
Level af bevismateriale D

Polyvinylklorid Dianéal® 2.5% glucose (Baxter) 0,245 mg/ml 25°C Ikke nærmere angivet
12 Time
4936
Level af bevismateriale D

Polypropylen 0,9 % Natriumklorid 14 mg/ml 2-8°C Beskyt mod lys
7 Dag
4074
Level af bevismateriale C

Polypropylen 0,9 % Natriumklorid 14 mg/ml 25°C Beskyt mod lys
4 Dag
4074
Level af bevismateriale C

Polypropylen 0,9 % Natriumklorid 5,6 mg/ml 2-8°C Beskyt mod lys
7 Dag
4074
Level af bevismateriale C

Polypropylen 0,9 % Natriumklorid 5,6 mg/ml 25°C Beskyt mod lys
2 Dag
4074
Level af bevismateriale C

Ikke angivet nærmere 0,9 % Natriumklorid ? mg/ml 2-8°C Ikke nærmere angivet
24 Time
2271
Producentens stabilitet data

Ikke angivet nærmere 0,9 % Natriumklorid ? mg/ml 25°C Ikke nærmere angivet
12 Time
2271
Producentens stabilitet data


  Mentions Légales