Останнє оновлення :
18/03/2026
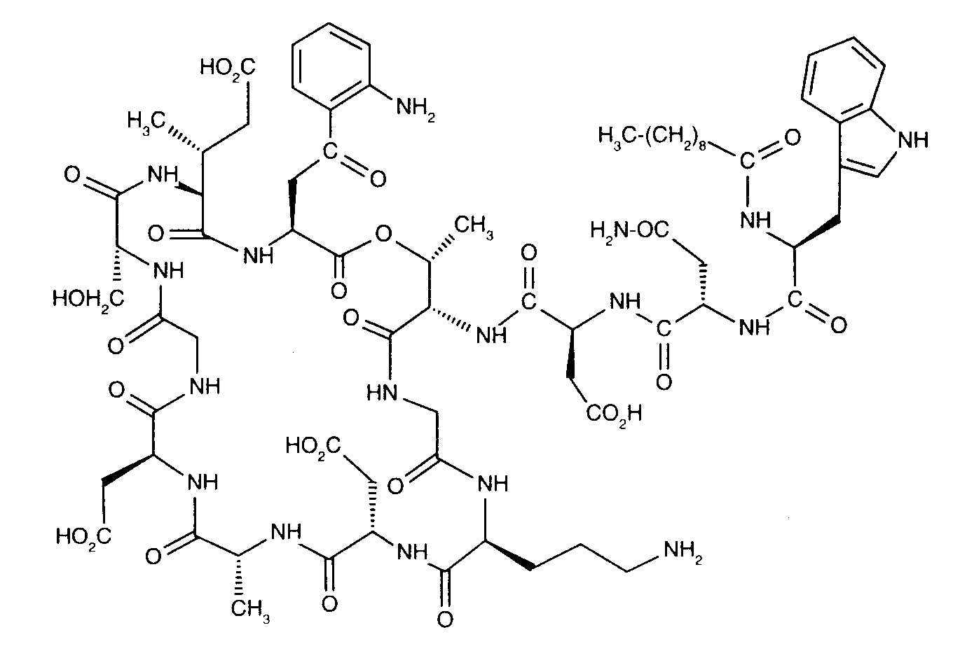
Антибіотик   Daptomycin  
ін'єкція
Стійкість в розчинах Стійкість сумішей Фактори, що впливають на стабільність Сумісність Шлях введення Список літератури pdf
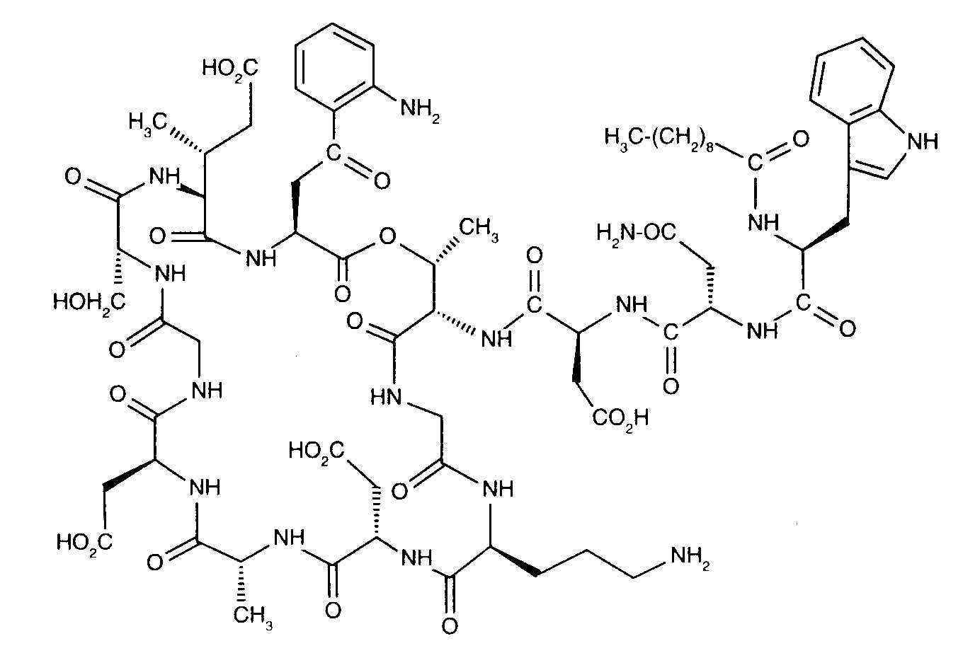
   Хімічна структура  

Торгова назва   Торгова назва     

Торгові назви є орієнтовними, а склад допоміжних речовин може бути різним залежно від країни та виробника

Cubicin Індія, Ірландія, Ісландія, Іспанія, Італія, Австрія, Австралія, Аргентина, Великобританія, Венесуела, Греція, Данія, Канада, Колумбія, Малайзія, Мексика, Нідерланди, Німеччина, Нова Зеландія, Норвегія, Польща, Португалія, Румунія, Сполучені Штати Америки, Туреччина, Угорщина, Фінляндія, Франція, Чилі, Швейцарія, Швеція, Японія
Daptomicina Іспанія, Італія, Аргентина
Daptomicine Великобританія, Німеччина, Норвегія, Угорщина, Фінляндія
Exfuno Бразилія, Чилі
Stenkivar Нігерія
Trisk Бразилія
Стійкість в розчинах   ін'єкція   Стійкість в розчинах : Daptomycin     
Контейнер Розчинник Концентрація температура Зберігання Тривалість стабільності Список літератури
скло Вода для ін'єкцій 50 mg/ml 2-8°C Не визначено
48 годину
2271
Дані виробника про стабільність

скло Вода для ін'єкцій 50 mg/ml 25°C Не визначено
12 годину
2271
Дані виробника про стабільність

скло Натрію хлорид 0,9% 50 mg/ml 2-8°C Не визначено
48 годину
2271
Дані виробника про стабільність

скло Натрію хлорид 0,9% 50 mg/ml 2-8°C Берегти від світла
7 День
4074
Рівень доказовості C

скло Натрію хлорид 0,9% 50 mg/ml 25°C Не визначено
12 годину
2271
Дані виробника про стабільність

скло Натрію хлорид 0,9% 50 mg/ml 25°C Берегти від світла
2 День
4074
Рівень доказовості C

скло Physionéal® 1.36 (Baxter) 100 mg/ml 25°C Берегти від світла
6 годину
3218
Рівень доказовості D

скло Physionéal® 1.36 (Baxter) 100 mg/ml 37°C Берегти від світла
6 годину
3218
Рівень доказовості D

скло Physionéal® 1.36 (Baxter) 100 mg/ml 4°C Берегти від світла
24 годину
3218
Рівень доказовості D

Полівініл хлорид Extraneal® (Baxter) 0,070 mg/ml 25°C Не визначено
24 годину
4936
Рівень доказовості D

Полівініл хлорид Extraneal® (Baxter) 0,245 mg/ml 25°C Не визначено
48 годину
4936
Рівень доказовості D

Полівініл хлорид Nutrineal® 50 & 200 mg/ml 37°C Берегти від світла
6 годину
3218
Рівень доказовості D

Полівініл хлорид Nutrineal® 50 & 200 mg/ml 4°C Берегти від світла
24 годину
3218
Рівень доказовості D

Полівініл хлорид Physionéal® 1.36 (Baxter) 0.02 mg/ml 25°C Не визначено
24 годину
3439
Рівень доказовості D

Полівініл хлорид Physionéal® 1.36 (Baxter) 0.02 mg/ml 37°C Не визначено
6 годину
3439
Рівень доказовості D

Полівініл хлорид Physionéal® 1.36 (Baxter) 50 & 200 mg/ml 25°C Берегти від світла
6 годину
3218
Рівень доказовості D

Полівініл хлорид Physionéal® 1.36 (Baxter) 50 & 200 mg/ml 37°C Берегти від світла
6 годину
3218
Рівень доказовості D

Полівініл хлорид Physionéal® 1.36 (Baxter) 50 & 200 mg/ml 4°C Берегти від світла
24 годину
3218
Рівень доказовості D

Полівініл хлорид Physionéal® 2.27 (Baxter) 0.02 mg/ml 25°C Не визначено
24 годину
3439
Рівень доказовості D

Полівініл хлорид Physionéal® 2.27 (Baxter) 0.02 mg/ml 37°C Не визначено
6 годину
3439
Рівень доказовості D

Полівініл хлорид Dianéal® 2.5% glucose (Baxter) 0,070 mg/ml 25°C Не визначено
24 годину
4936
Рівень доказовості D

Полівініл хлорид Dianéal® 2.5% glucose (Baxter) 0,245 mg/ml 25°C Не визначено
12 годину
4936
Рівень доказовості D

Поліпропілен Натрію хлорид 0,9% 14 mg/ml 2-8°C Берегти від світла
7 День
4074
Рівень доказовості C

Поліпропілен Натрію хлорид 0,9% 14 mg/ml 25°C Берегти від світла
4 День
4074
Рівень доказовості C

Поліпропілен Натрію хлорид 0,9% 5,6 mg/ml 2-8°C Берегти від світла
7 День
4074
Рівень доказовості C

Поліпропілен Натрію хлорид 0,9% 5,6 mg/ml 25°C Берегти від світла
2 День
4074
Рівень доказовості C

Не визначено Натрію хлорид 0,9% ? mg/ml 2-8°C Не визначено
24 годину
2271
Дані виробника про стабільність

Не визначено Натрію хлорид 0,9% ? mg/ml 25°C Не визначено
12 годину
2271
Дані виробника про стабільність


  Mentions Légales