viimane versioon :
18/03/2026
antibiootikum   Daptomycin  
Süsteravim
Stabiilsus lahustes Stabiilsust mõjutavad tegurid stabiilsust mõjutavad faktorid Sobimatus Manustamis viis Viited pdf
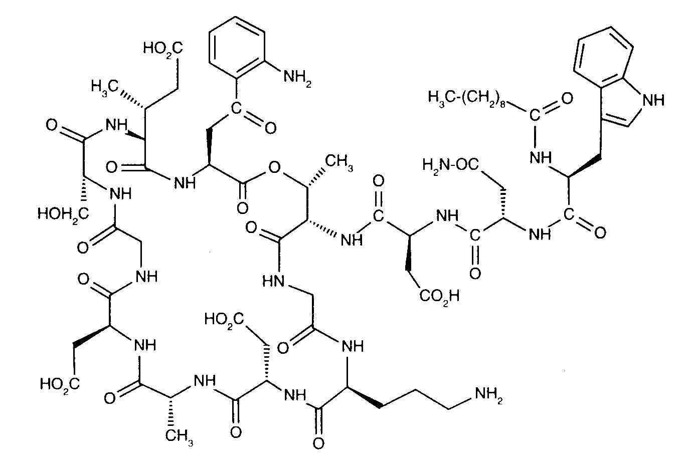
   keemiline struktuur  

Kaubanduslikud nimed erinevates maades   Kaubanduslikud nimed erinevates maades     

Preparaatide nimed on näitlikud ja abianete sisaldus võib erineda sõltuvalt riigist ja laborist

Cubicin Ameerika ühendriigid, Argentiina, Austraalia, Austria, Hispaania, Holland, Iirimaa, India, Island, Itaalia, Jaapan, Kanada, Kolumbia, Kreeka, Malaisia, Mehhiko, Norra, Poola, Portugal, Prantsusmaa, Rootsi, Rumeenia, Saksamaa, Soome, Suurbritannia, Sveits, Taani, Tšiili, Türgi, Ungari, uus-Meremaa, Venetsueela
Daptomicina Argentiina, Hispaania, Itaalia
Daptomicine Norra, Saksamaa, Soome, Suurbritannia, Ungari
Exfuno Brasiilia, Tšiili
Stenkivar Nigeeria
Trisk Brasiilia
Stabiilsus lahustes   Süsteravim   Stabiilsus lahustes : Daptomycin     
konteiner lahusti kontsentratsioon temperatuur ladustamine Stabiilsuse kestus Viited
klaas süstevesi 50 mg/ml 2-8°C pole täpsustatud
48 Tund
2271
Tootja info stabiilsuse kohta

klaas süstevesi 50 mg/ml 25°C pole täpsustatud
12 Tund
2271
Tootja info stabiilsuse kohta

klaas naatriumkloriid 0.9% 50 mg/ml 2-8°C pole täpsustatud
48 Tund
2271
Tootja info stabiilsuse kohta

klaas naatriumkloriid 0.9% 50 mg/ml 2-8°C kaitsta valguse eest
7 päev
4074
Tõenduspõhisuse tase C

klaas naatriumkloriid 0.9% 50 mg/ml 25°C pole täpsustatud
12 Tund
2271
Tootja info stabiilsuse kohta

klaas naatriumkloriid 0.9% 50 mg/ml 25°C kaitsta valguse eest
2 päev
4074
Tõenduspõhisuse tase C

klaas Physionéal® 1.36 (Baxter) 100 mg/ml 25°C kaitsta valguse eest
6 Tund
3218
Tõenduspõhisuse tase D

klaas Physionéal® 1.36 (Baxter) 100 mg/ml 37°C kaitsta valguse eest
6 Tund
3218
Tõenduspõhisuse tase D

klaas Physionéal® 1.36 (Baxter) 100 mg/ml 4°C kaitsta valguse eest
24 Tund
3218
Tõenduspõhisuse tase D

polüvinüülkloriid Extraneal® (Baxter) 0,070 mg/ml 25°C pole täpsustatud
24 Tund
4936
Tõenduspõhisuse tase D

polüvinüülkloriid Extraneal® (Baxter) 0,245 mg/ml 25°C pole täpsustatud
48 Tund
4936
Tõenduspõhisuse tase D

polüvinüülkloriid Nutrineal® 50 & 200 mg/ml 37°C kaitsta valguse eest
6 Tund
3218
Tõenduspõhisuse tase D

polüvinüülkloriid Nutrineal® 50 & 200 mg/ml 4°C kaitsta valguse eest
24 Tund
3218
Tõenduspõhisuse tase D

polüvinüülkloriid Physionéal® 1.36 (Baxter) 0.02 mg/ml 25°C pole täpsustatud
24 Tund
3439
Tõenduspõhisuse tase D

polüvinüülkloriid Physionéal® 1.36 (Baxter) 0.02 mg/ml 37°C pole täpsustatud
6 Tund
3439
Tõenduspõhisuse tase D

polüvinüülkloriid Physionéal® 1.36 (Baxter) 50 & 200 mg/ml 25°C kaitsta valguse eest
6 Tund
3218
Tõenduspõhisuse tase D

polüvinüülkloriid Physionéal® 1.36 (Baxter) 50 & 200 mg/ml 37°C kaitsta valguse eest
6 Tund
3218
Tõenduspõhisuse tase D

polüvinüülkloriid Physionéal® 1.36 (Baxter) 50 & 200 mg/ml 4°C kaitsta valguse eest
24 Tund
3218
Tõenduspõhisuse tase D

polüvinüülkloriid Physionéal® 2.27 (Baxter) 0.02 mg/ml 25°C pole täpsustatud
24 Tund
3439
Tõenduspõhisuse tase D

polüvinüülkloriid Physionéal® 2.27 (Baxter) 0.02 mg/ml 37°C pole täpsustatud
6 Tund
3439
Tõenduspõhisuse tase D

polüvinüülkloriid Dianéal® 2.5% glucose (Baxter) 0,070 mg/ml 25°C pole täpsustatud
24 Tund
4936
Tõenduspõhisuse tase D

polüvinüülkloriid Dianéal® 2.5% glucose (Baxter) 0,245 mg/ml 25°C pole täpsustatud
12 Tund
4936
Tõenduspõhisuse tase D

polüpropüleen naatriumkloriid 0.9% 14 mg/ml 2-8°C kaitsta valguse eest
7 päev
4074
Tõenduspõhisuse tase C

polüpropüleen naatriumkloriid 0.9% 14 mg/ml 25°C kaitsta valguse eest
4 päev
4074
Tõenduspõhisuse tase C

polüpropüleen naatriumkloriid 0.9% 5,6 mg/ml 2-8°C kaitsta valguse eest
7 päev
4074
Tõenduspõhisuse tase C

polüpropüleen naatriumkloriid 0.9% 5,6 mg/ml 25°C kaitsta valguse eest
2 päev
4074
Tõenduspõhisuse tase C

pole täpsustatud naatriumkloriid 0.9% ? mg/ml 2-8°C pole täpsustatud
24 Tund
2271
Tootja info stabiilsuse kohta

pole täpsustatud naatriumkloriid 0.9% ? mg/ml 25°C pole täpsustatud
12 Tund
2271
Tootja info stabiilsuse kohta


  Mentions Légales