zadnja posodobitev :
27/11/2025
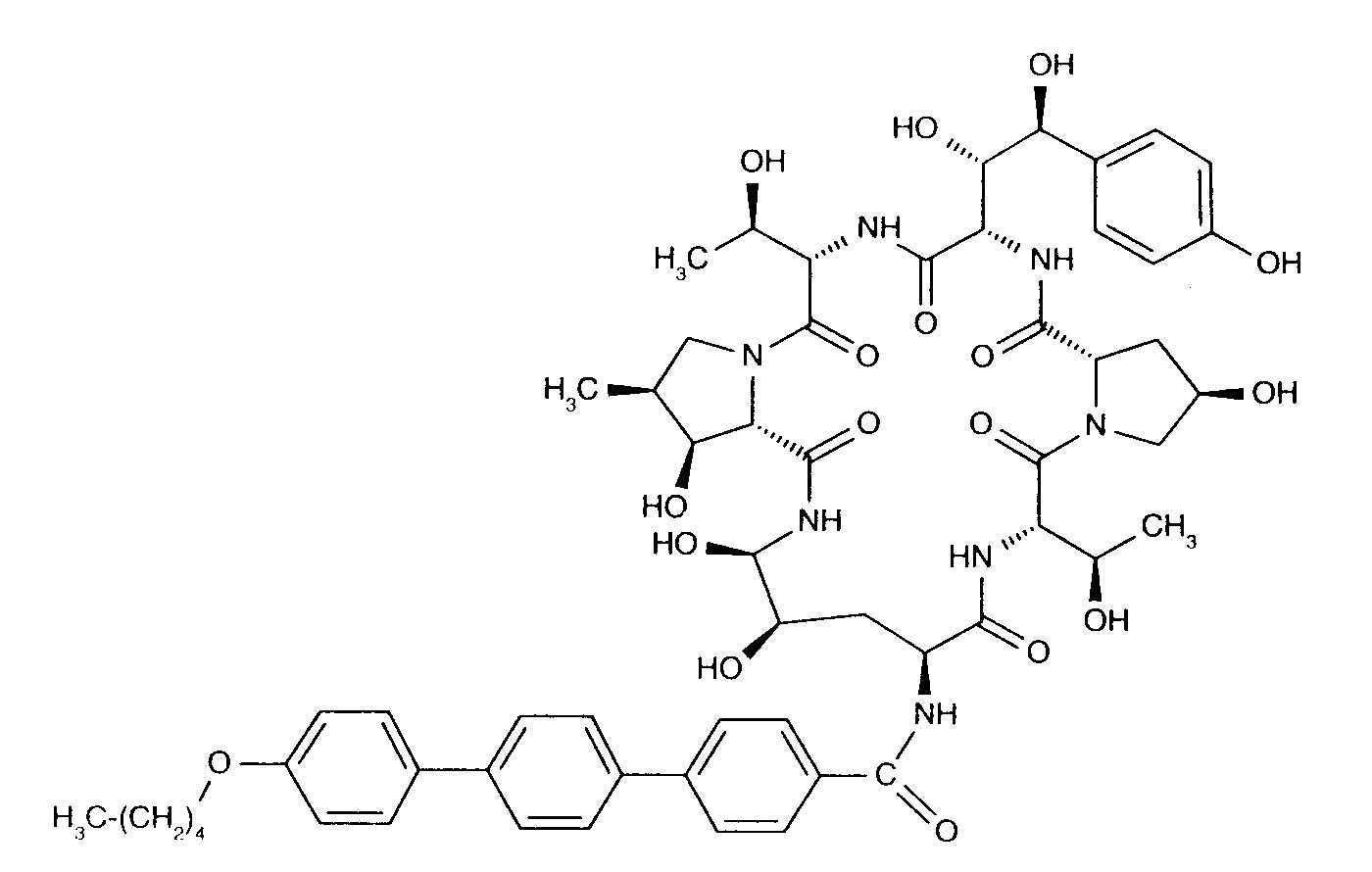
Antimikotik   Anidulafungin  
Brizgalka
Stabilnost raztopine Stabilnost mešanice Faktorji, ki vplivajo na stabilnost Kompatibilnost način aplikacije Viri pdf
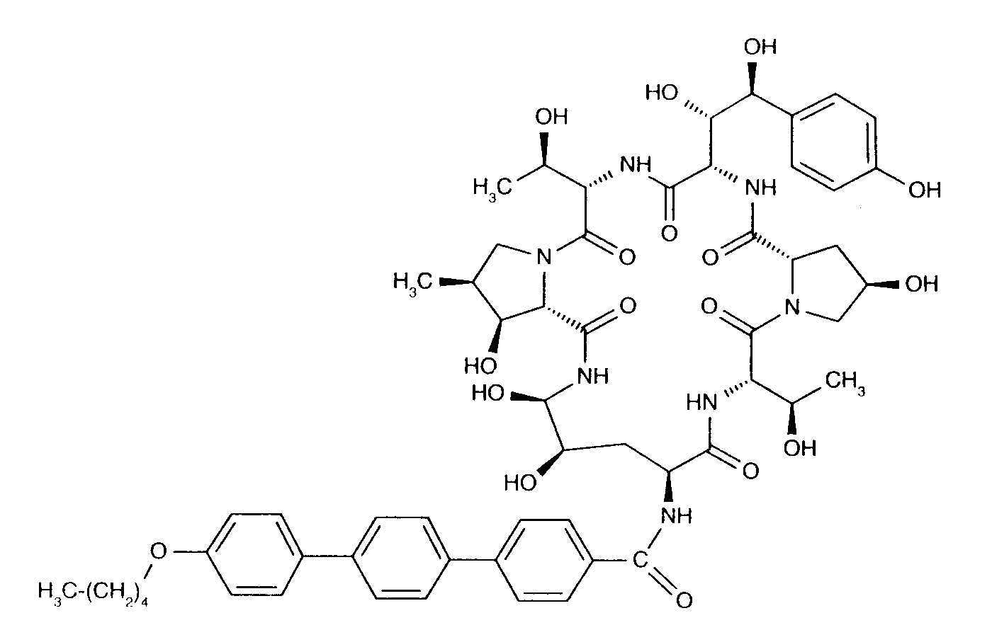
   Kemična formula  

Lastniško ime   Lastniško ime     

Sestava pomožnih snovi je med paralelami lahko različna

Anidulafungin Belgija, Nemčija, Velika Britanija
Anidulafungina Brazilija, Španija
Ecalta Argentina, Belgija, Brazilija, Čile, Danska, Finska, Francija, Grčija, Italija, Kanada, Kolumbija, Luksemburg, Madžarska, Malezija, Nemčija, Nizozemska, Norveška, Peru, Poljska, Romunija, Španija, Švedska, Švica, Turčija, Velika Britanija, Venezuela, Združene države Amerike
Equalta Mehika
Eraxis Avstralija, Kanada, Združene države Amerike
Fuzig Mehika
Stabilnost raztopine   Brizgalka   Stabilnost raztopine : Anidulafungin     
Vsebnik Topilo Koncentracija Temperatura Shranjevanje Trajanje stabilnosti Viri
Steklo Voda za injekcije 3.33 mg/ml 25°C Nedoločeno
24 čas
3567
Podatki stabilnosti proizvajalca

Nedoločeno Natrijev klorid 0,9% 0.77 mg/ml 25°C Nedoločeno
48 čas
3567
Podatki stabilnosti proizvajalca

Nedoločeno Glukoza 5% 0.77 mg/ml 25°C Nedoločeno
48 čas
3567
Podatki stabilnosti proizvajalca


  Mentions Légales