Siste oppdatering :
27/01/2026
Fungicid   Anidulafungin  
Injeksjon
Oppløsningsstabilitet Stabilitet i blandinger Faktorer som påvirker stabiliteten Kompatibilitet Administrasjonsmåte Referanser pdf
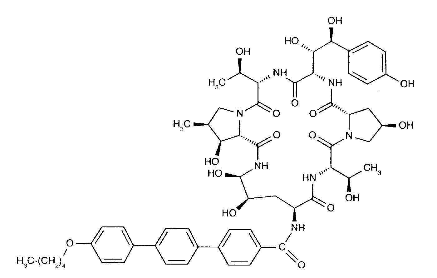
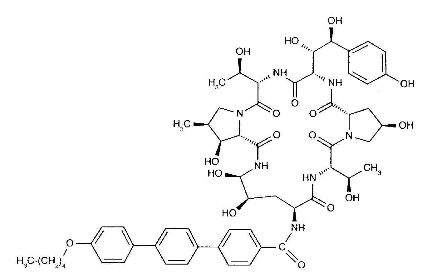
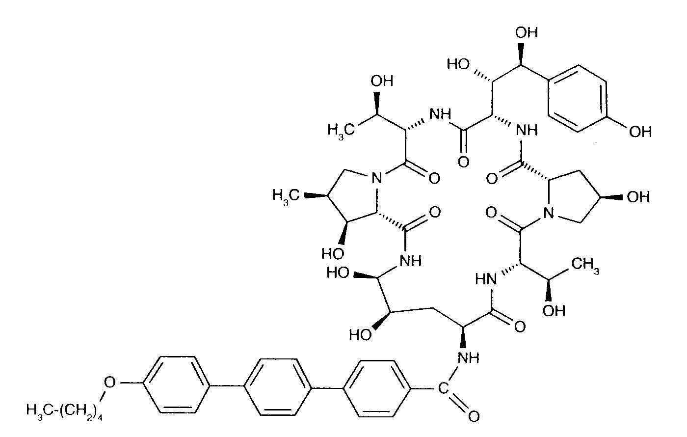
   Kjemisk struktur  

Handelsnavn   Handelsnavn     

Handelsnavn er veiledende og sammensetning av hjelpestoffer kan være forskjellig avhengig av land og produsent

Anidulafungin Belgia, Storbritannia, Tyskland
Anidulafungina Brasil, Spania
Ecalta Argentina, Belgia, Brasil, Canada, Chile, Colombia, Danmark, Finland, Frankrike, Hellas, Italia, Luxembourg, Malaysia, Nederland, Norge, Peru, Polen, Romania, Spania, Storbritannia, Sveits, Sverige, Tyrkia, Tyskland, Ungarn, USA, Venezuela
Equalta Mexico
Eraxis Australia, Canada, USA
Fuzig Mexico
Oppløsningsstabilitet   Injeksjon   Oppløsningsstabilitet : Anidulafungin     
Beholder Oppløsningsmiddel Konsentrasjon Temperatur Oppbevaring Varighet av stabilitet Referanser
Glass Vann til injeksjon 3.33 mg/ml 25°C Ikke angitt
24 Tid
3567
Stabilitetsopplysninger fra produsent

Ikke angitt Natriumklorid 0,9 % 0.77 mg/ml 25°C Ikke angitt
48 Tid
3567
Stabilitetsopplysninger fra produsent

Ikke angitt Glukose 5 % 0.77 mg/ml 25°C Ikke angitt
48 Tid
3567
Stabilitetsopplysninger fra produsent


  Mentions Légales