Utolsó frissítés :
27/01/2026
Gombaellenes szer   Anidulafungin  
Injekció
Az oldatok stabilitása A keverékek stabilitása Stabilitást befolyásoló tényezők Kompatibilitás Az alkalmazás módja Irodalom pdf
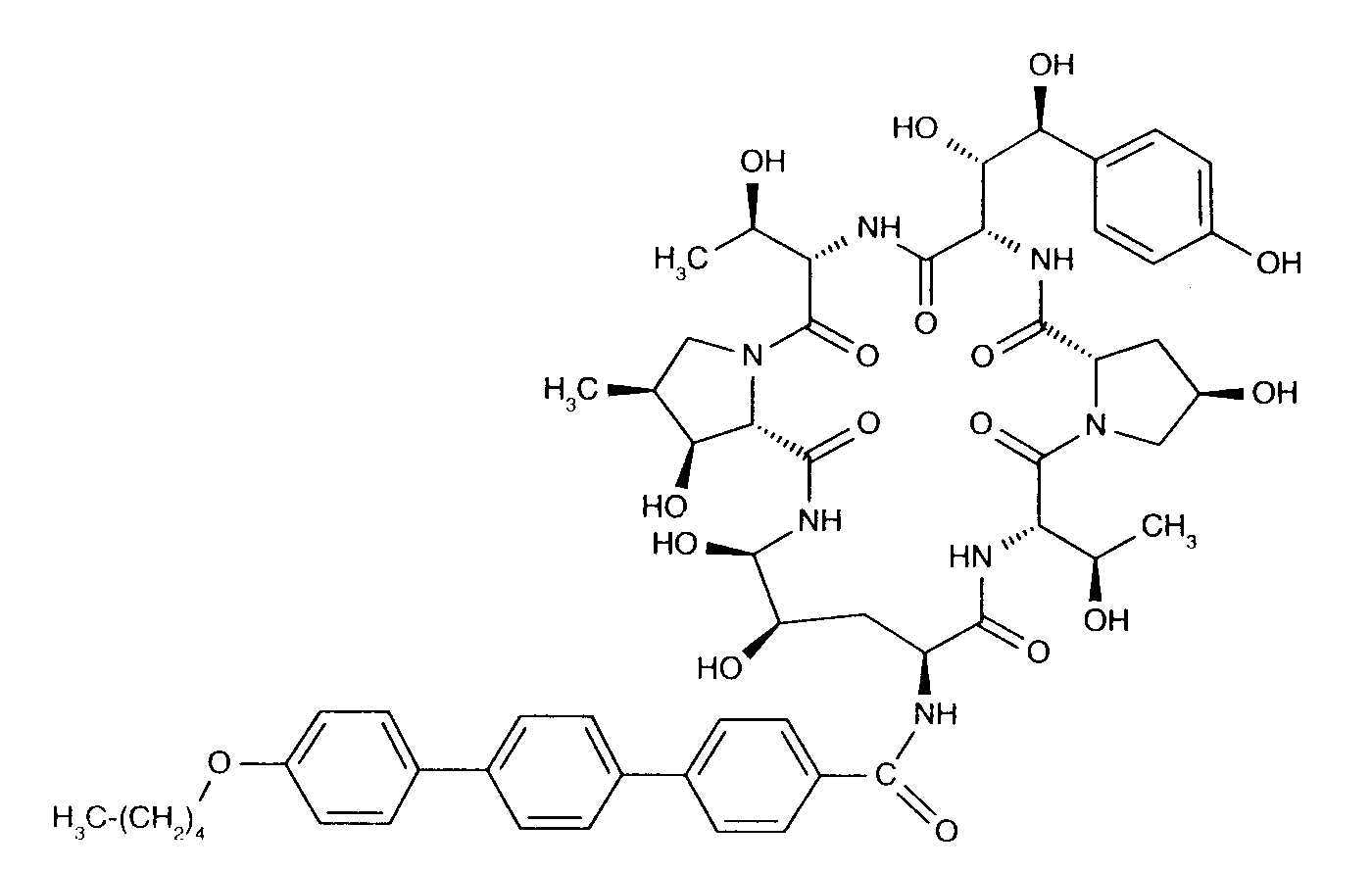
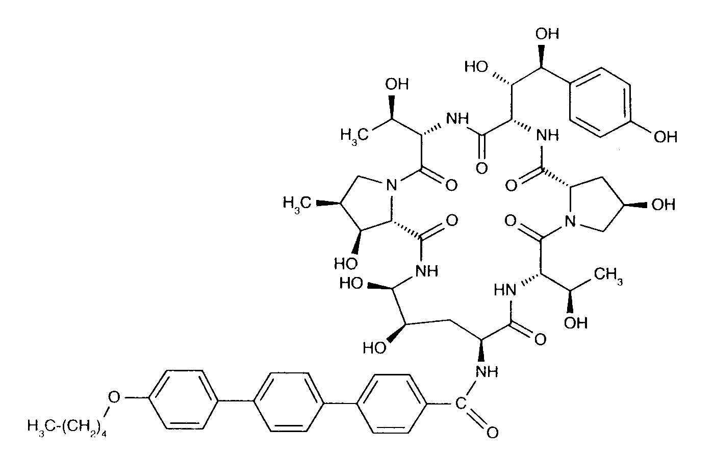
   Kémiai szerkezet   

Kereskedelmi név   Kereskedelmi név     

A kereskedelmi név meghatározó jelentőségű: a készítmények összetétele országonként, előállítóként eltérő lehet

Anidulafungin Belgium, Nagy-Britannia, Németország
Anidulafungina Brazília, Spanyolország
Ecalta Amerikai Egyesült Államok, Argentína, Belgium, Brazília, Chile, Colombia, Dánia, Finnország, Franciaország, Görögország, Hollandia, Kanada, Lengyelország, Luxemburg, Magyarország, Malaysia, Nagy-Britannia, Németország, Norvégia, Olaszország, Peru, Románia, Spanyolország, Svájc, Svédország, Törökország, Venezuela
Equalta Mexikó
Eraxis Amerikai Egyesült Államok, Ausztrália, Kanada
Fuzig Mexikó
Az oldatok stabilitása   Injekció   Az oldatok stabilitása : Anidulafungin     
Csomagolás Oldószer Koncentráció Hőmérséklet Tárolás A stabilitás időtartama Irodalom
Üveg Injekcióhoz való víz 3.33 mg/ml 25°C Nincs meghatározva
24 Óra
3567
Gyártó stabilitási adatokra

Nincs meghatározva 0,9% nátrium-klorid 0.77 mg/ml 25°C Nincs meghatározva
48 Óra
3567
Gyártó stabilitási adatokra

Nincs meghatározva 5% glükóz 0.77 mg/ml 25°C Nincs meghatározva
48 Óra
3567
Gyártó stabilitási adatokra


  Mentions Légales