Letztes “update” :
27/01/2026
Antifungoid   Anidulafungin  
Injektion
Stabilität der Lösung Gemengestabilität Stabilitätbeeinflussende Faktoren Kompatibilitäten Applikationsart Literaturverzeichnis pdf
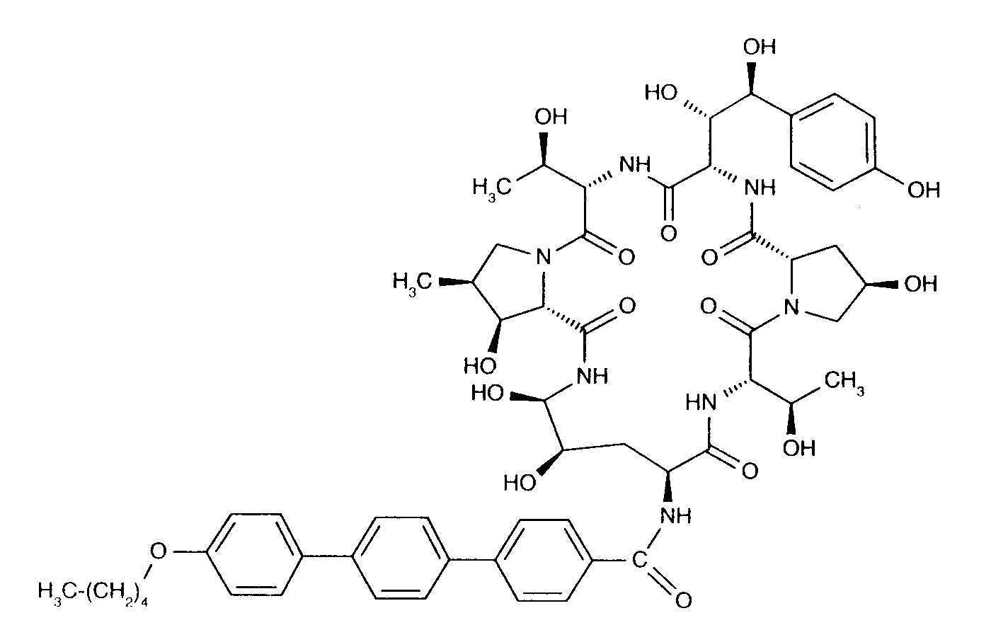
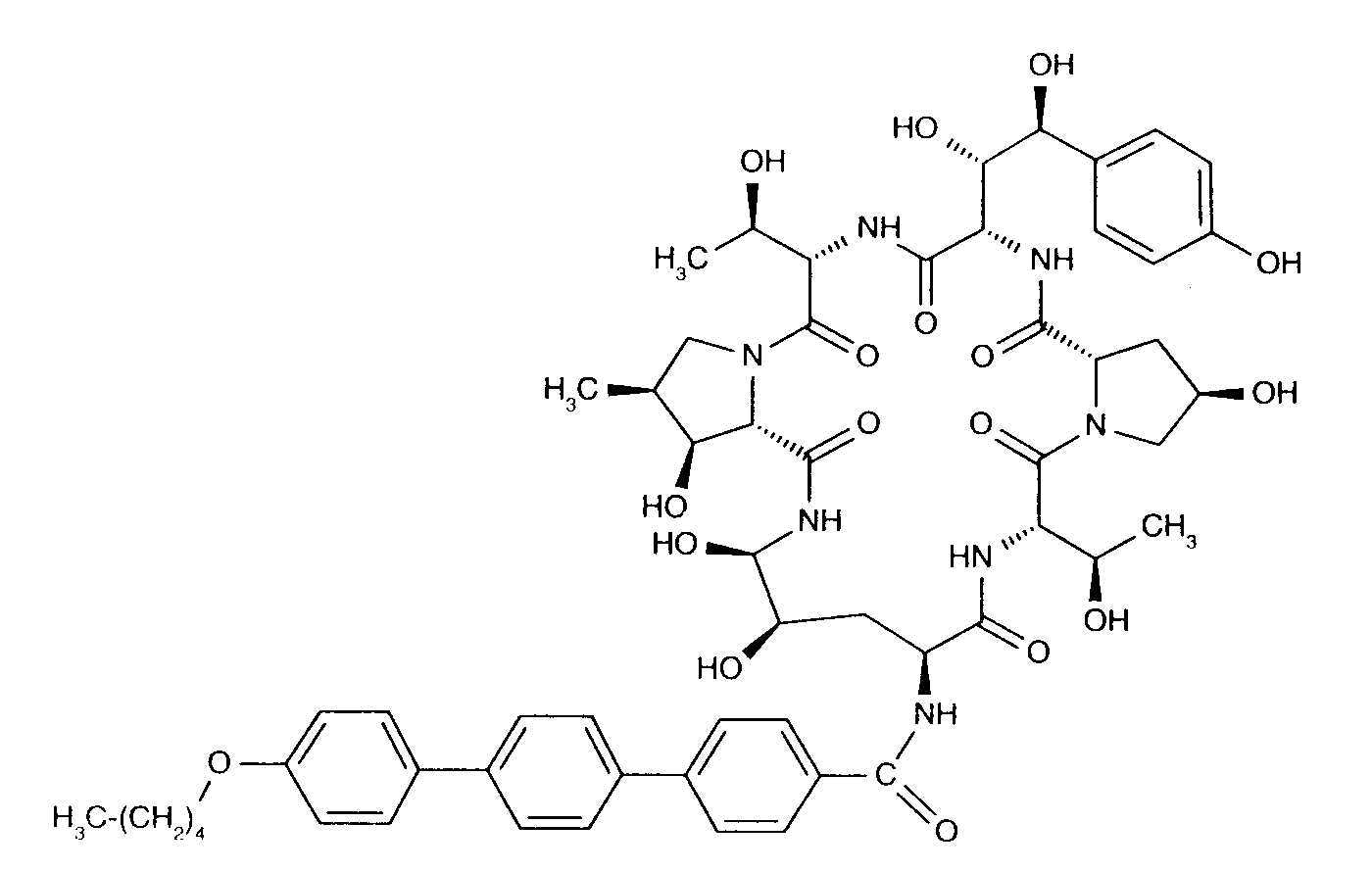
   Chemische Struktur  

Handelsmarke   Handelsmarke     

Handelsnamen sind als beispielhaft anzusehen. Sonstige Bestandteile können je nach Hersteller oder Land verschieden sein

Anidulafungin Belgien, Deutschland, Großbritannien
Anidulafungina Brasilien, Spanien
Ecalta Argentinien, Belgien, Brasilien, Chile, Dänemark, Deutschland, Finnland, Frankreich, Griechenland, Großbritannien, Italien, Kanada, Kolumbien, Luxemburg, Malaysia, Niederlande, Norwegen, Peru, Polen, Rumänien, Schweden, Schweiz, Spanien, Türkei, Ungarn, Venezuela, Vereinigte Staaten von Amerika
Equalta Mexiko
Eraxis Australien, Kanada, Vereinigte Staaten von Amerika
Fuzig Mexiko
Stabilität der Lösung   Injektion   Stabilität der Lösung : Anidulafungin     
Behälter Lösungsmittel Konzentration Temperatur Konservierung Dauer der Stabilität Literaturverzeichnis
Glas Wasser für injektable präparate 3.33 mg/ml 25°C Nicht genau angegeben
24 Stunde
3567
Stabilitätsdaten des Herstellers

Nicht genau angegeben 0,9% Natriumchlorid 0.77 mg/ml 25°C Nicht genau angegeben
48 Stunde
3567
Stabilitätsdaten des Herstellers

Nicht genau angegeben 5% Glucose 0.77 mg/ml 25°C Nicht genau angegeben
48 Stunde
3567
Stabilitätsdaten des Herstellers


  Mentions Légales