Laatste update :
27/11/2025
Antimycoticum   Anidulafungin  
injecteerbaar geneesmiddel
Stabiliteit in oplossing Stabiliteit in mengsels Factoren die de stabiliteit beïnvloeden Verenigbaarheden Toedieningswijze Literatuur pdf
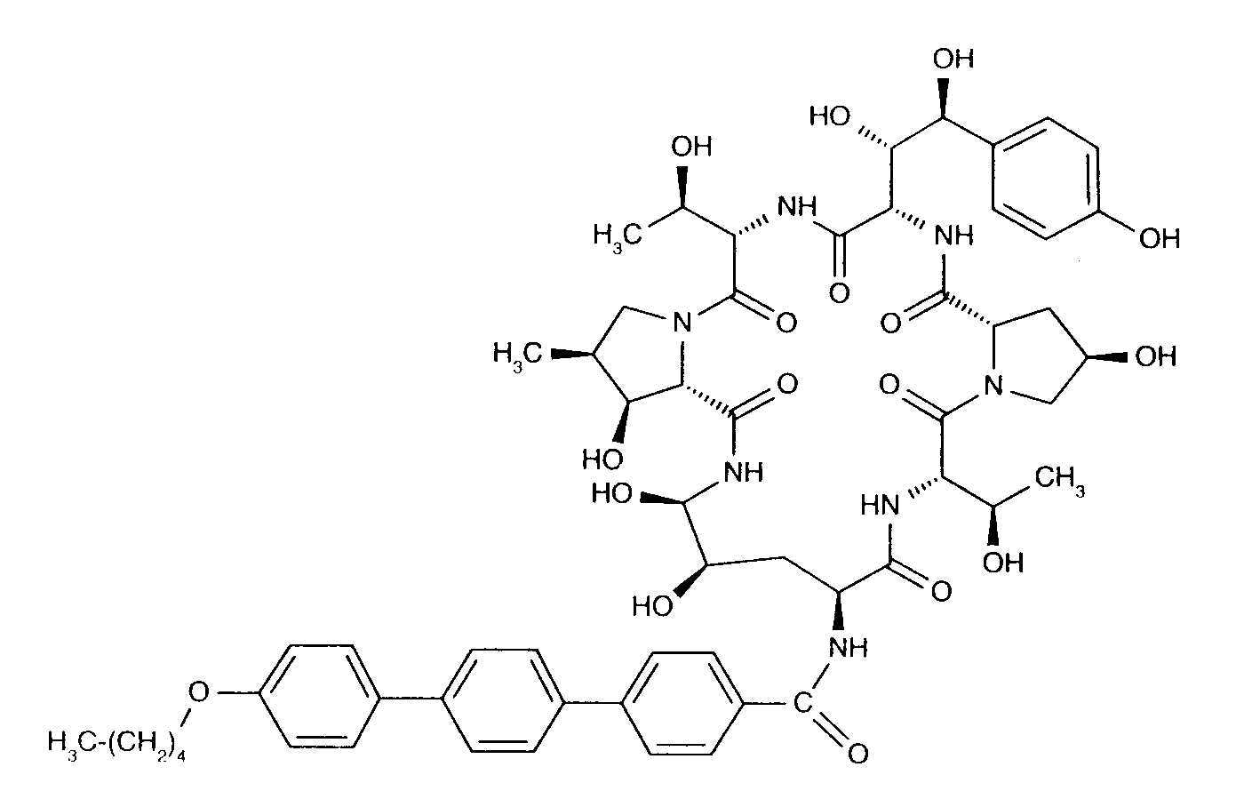
   Molecuulstructuur  

Merknamen in verschillende landen   Merknamen in verschillende landen     

Handelsnamen zijn slechts een indicatie; de samenstelling van hulpstoffen kan per land variëren afhankelijk van de fabrikant

Anidulafungin België, Duitsland, Groot Britannië
Anidulafungina Brazilië, Spanje
Ecalta Argentinië, België, Brazilië, Canada, Chili, Colombia, Denemarken, Duitsland, Finland, Frankrijk, Griekenland, Groot Britannië, Hongarije, Italië, Luxemburg, Maleisië, Nederland, Noorwegen, Peru, Polen, Roemenië, Spanje, Turkije, USA, Venezuela, Zweden, Zwitserland
Equalta Mexico
Eraxis Australië, Canada, USA
Fuzig Mexico
Stabiliteit in oplossing   injecteerbaar geneesmiddel   Stabiliteit in oplossing : Anidulafungin     
Verpakking Oplosmiddel Concentratie Temperatuur Bewaring Duur van de stabiliteit Literatuur
Glas Water voor injectie 3.33 mg/ml 25°C Niet gespecificeerd
24 Uur
3567
Stabiliteitsgegevens van de fabrikant

Niet gespecificeerd Natriumchloride 0,9% 0.77 mg/ml 25°C Niet gespecificeerd
48 Uur
3567
Stabiliteitsgegevens van de fabrikant

Niet gespecificeerd Glucose 5% 0.77 mg/ml 25°C Niet gespecificeerd
48 Uur
3567
Stabiliteitsgegevens van de fabrikant


  Mentions Légales