Τελευταία ενημέρωση :
27/11/2025
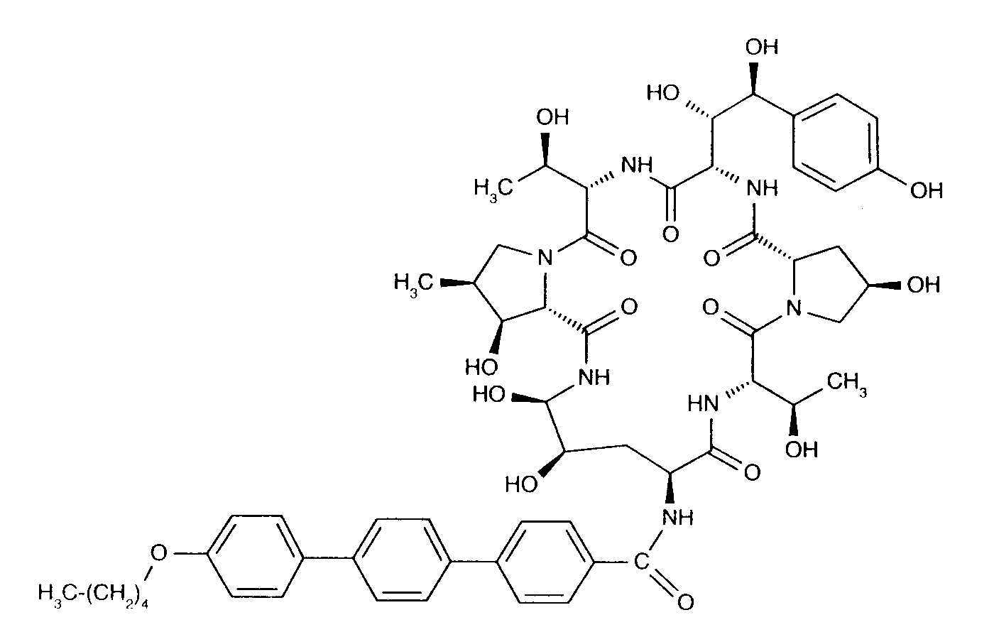
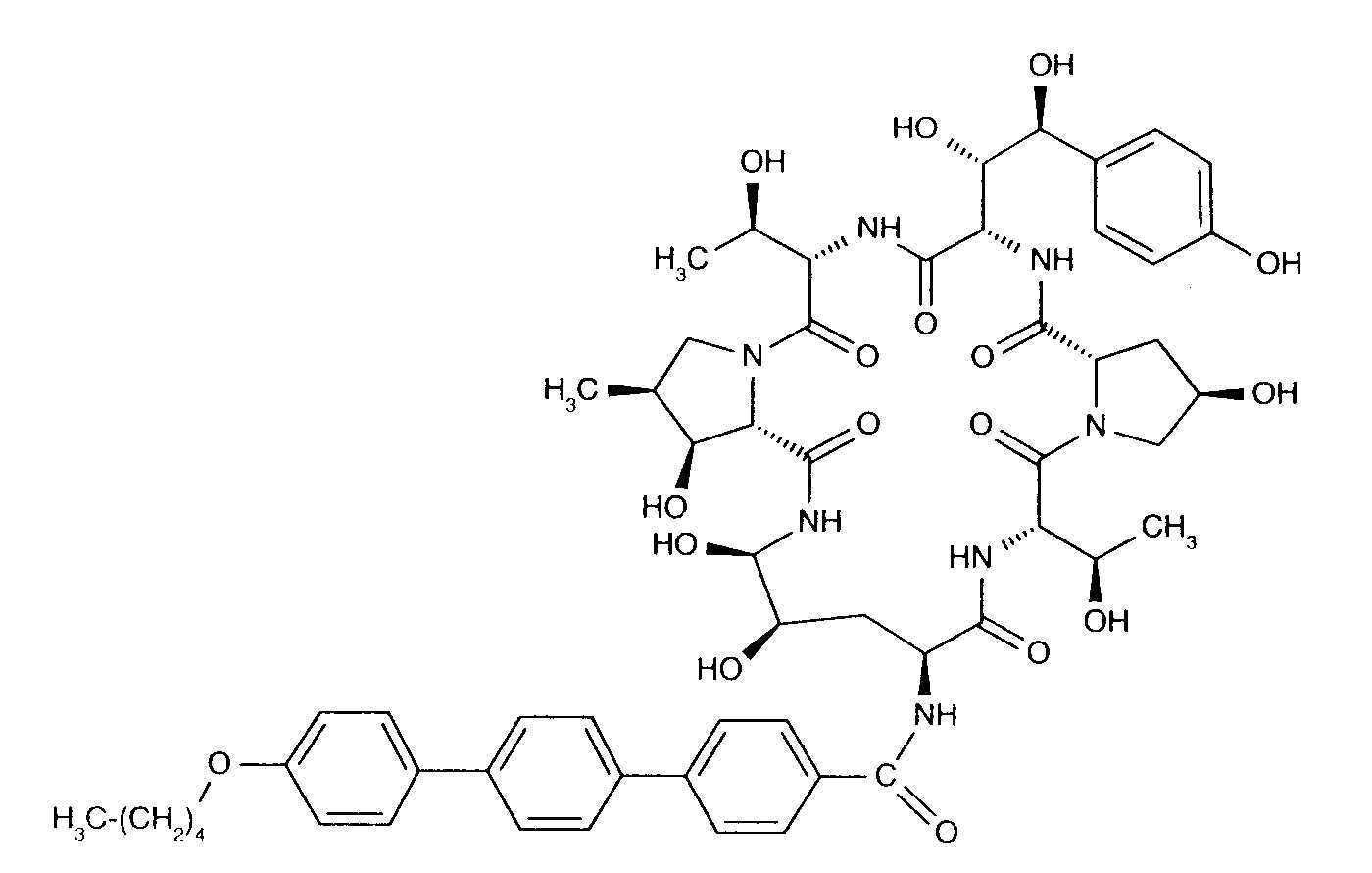
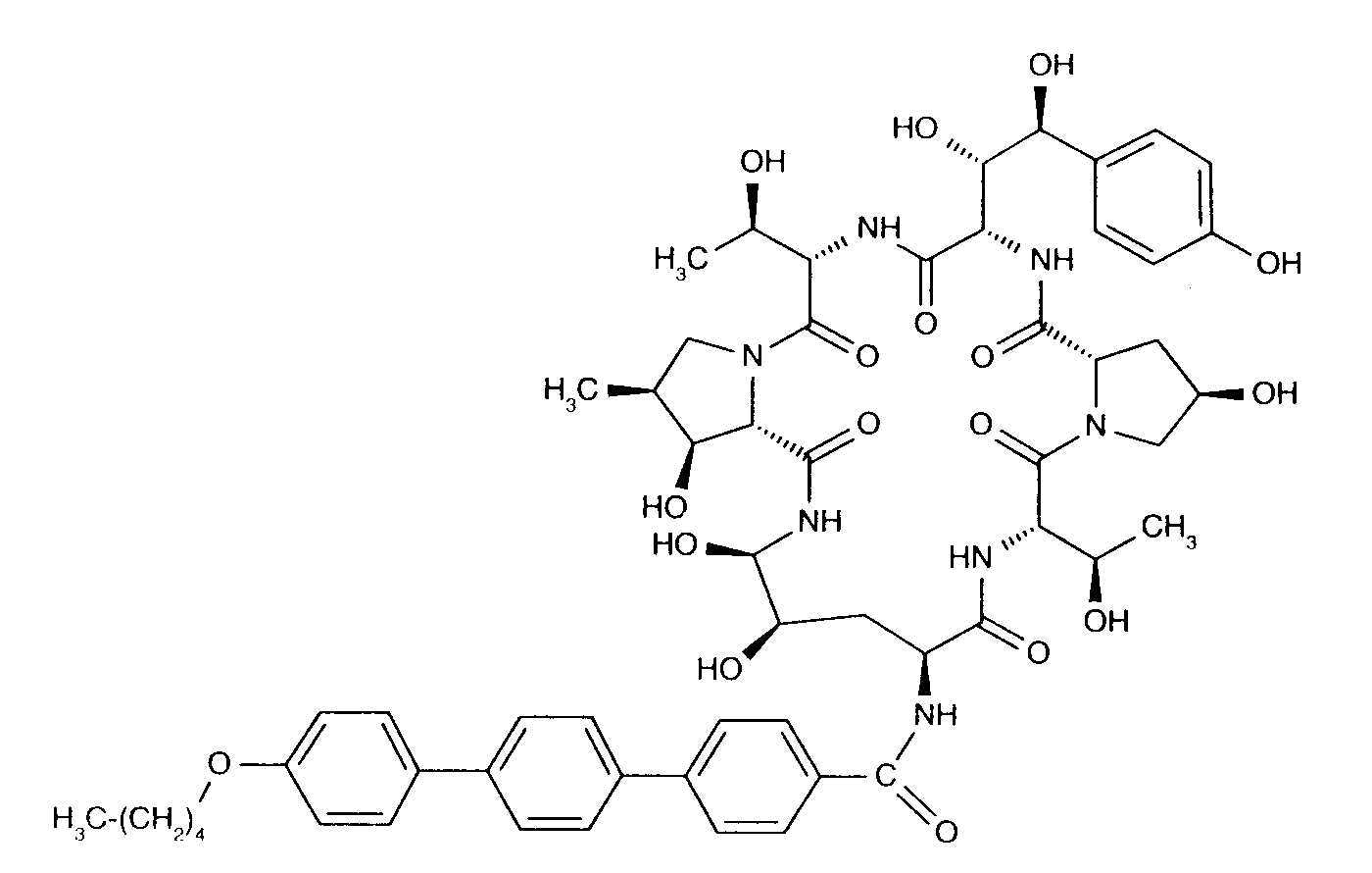
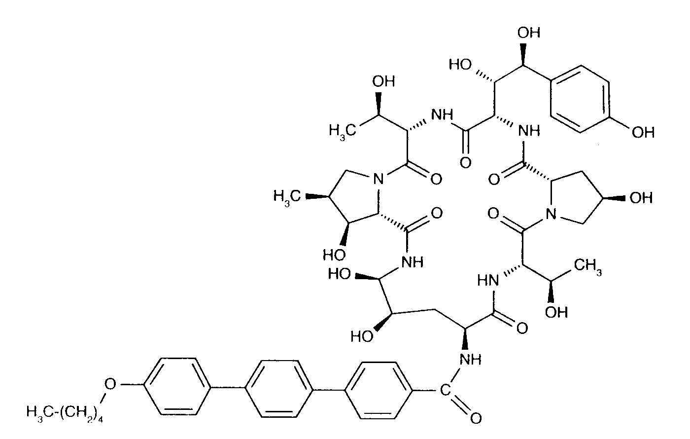
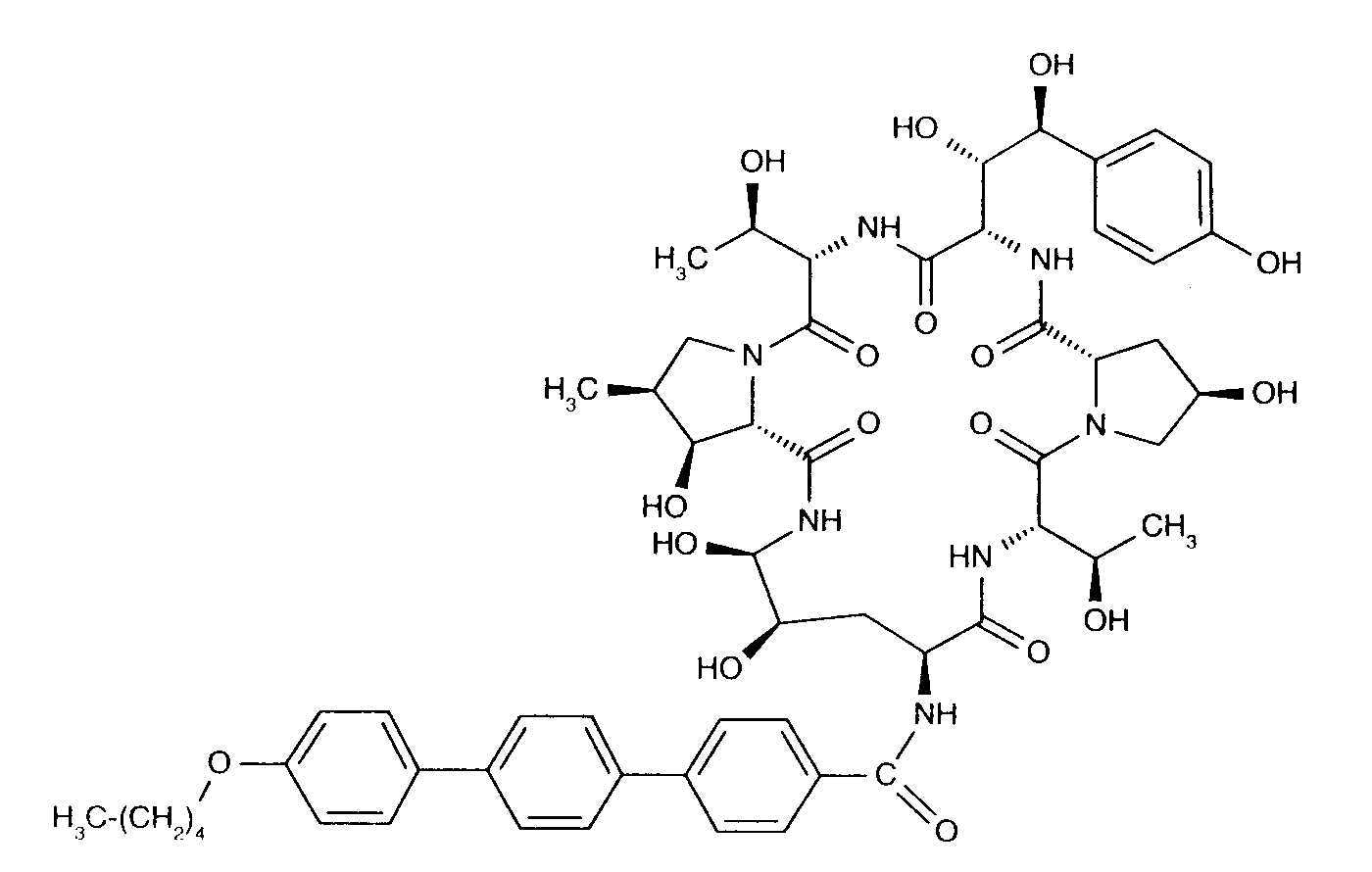
Αντιμυκητικό   Anidulafungin  
Ενέσιμο
Σταθερότητα διαλυμάτων Σταθερότητα σε μίγματα Παράγοντας που επηρεάζει τη σταθερότητα Συμβατότητες Τρόπος χορήγησης Βιβλιογραφία pdf
   χημική δομή  

Εμπορική ονομασία   Εμπορική ονομασία     

Οι εμπορικές ονομασίες είναι ενδεικτικές και η σύνθεση των εκδόχων μπορεί να διαφέρει ανάλογα με τη χώρα και τα εργαστήρια

Anidulafungin Βέλγιο, Γερμανία, Μεγάλη Βρετανία
Anidulafungina Βραζιλία, Ισπανία
Ecalta Αργεντινή, Βέλγιο, Βενεζουέλα, Βραζιλία, Γαλλία, Γερμανία, Δανία, Ελβετία, Ελλάδα, Η.Π.Α., Ισπανία, Ιταλία, Καναδάς, Κολομβία, Λουξεμβούργο, Μαλαισία, Μεγάλη Βρετανία, Νορβηγία, Ολλανδία, Ουγγαρία, Περού, Πολωνία, Ρουμανία, Σουηδία, Τουρκία, Φινλανδία, Χιλή
Equalta Μεξικό
Eraxis Αυστραλία, Η.Π.Α., Καναδάς
Fuzig Μεξικό
Σταθερότητα διαλυμάτων   Ενέσιμο   Σταθερότητα διαλυμάτων : Anidulafungin     
Υποδοχέας Διαλυτικό Συγκέντρωση Θερμοκρασία Αποθήκευση Διάρκεια σταθερότητας Βιβλιογραφία
Ύαλος Ενέσιμο ύδωρ 3.33 mg/ml 25°C Απροσδιόριστο
24 Ώρα
3567
Δεδομένα σταθερότητας του κατασκευαστή/ών

Απροσδιόριστο Χλωριούχο νάτριο 0,9% 0.77 mg/ml 25°C Απροσδιόριστο
48 Ώρα
3567
Δεδομένα σταθερότητας του κατασκευαστή/ών

Απροσδιόριστο Γλυκόζη 5% 0.77 mg/ml 25°C Απροσδιόριστο
48 Ώρα
3567
Δεδομένα σταθερότητας του κατασκευαστή/ών


  Mentions Légales