最新更新 :
17/12/2025
抗真菌药   Anidulafungin  
注射液
溶液稳定性 混合物稳定性 影响稳定性的因素 兼容性 用药途径 引用文献 PDF
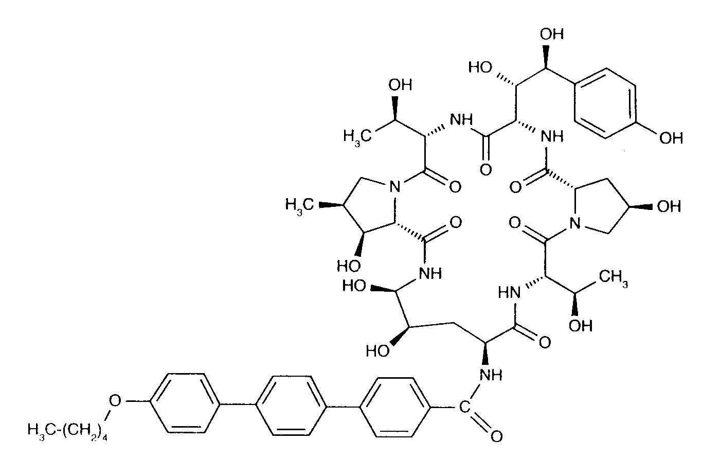
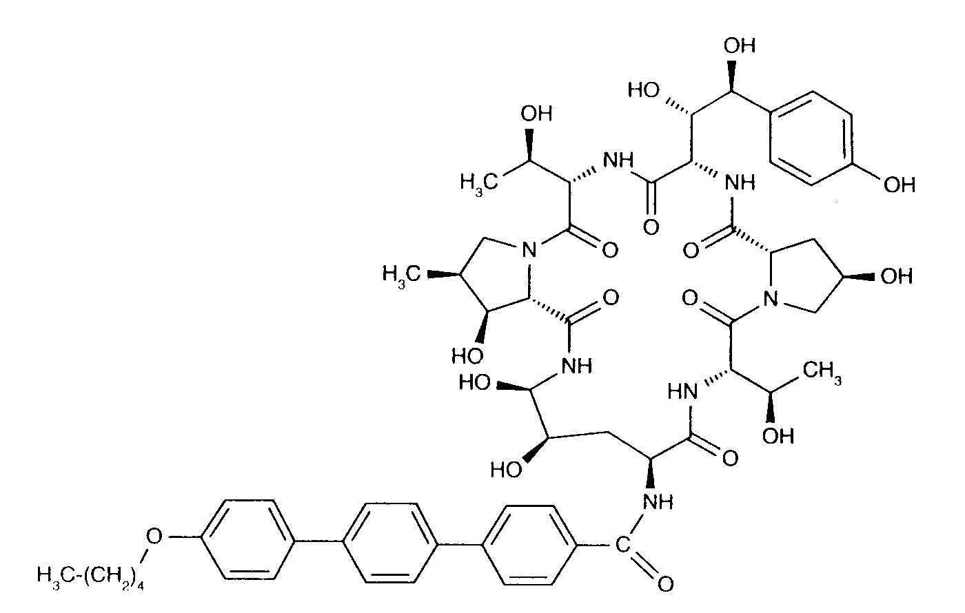
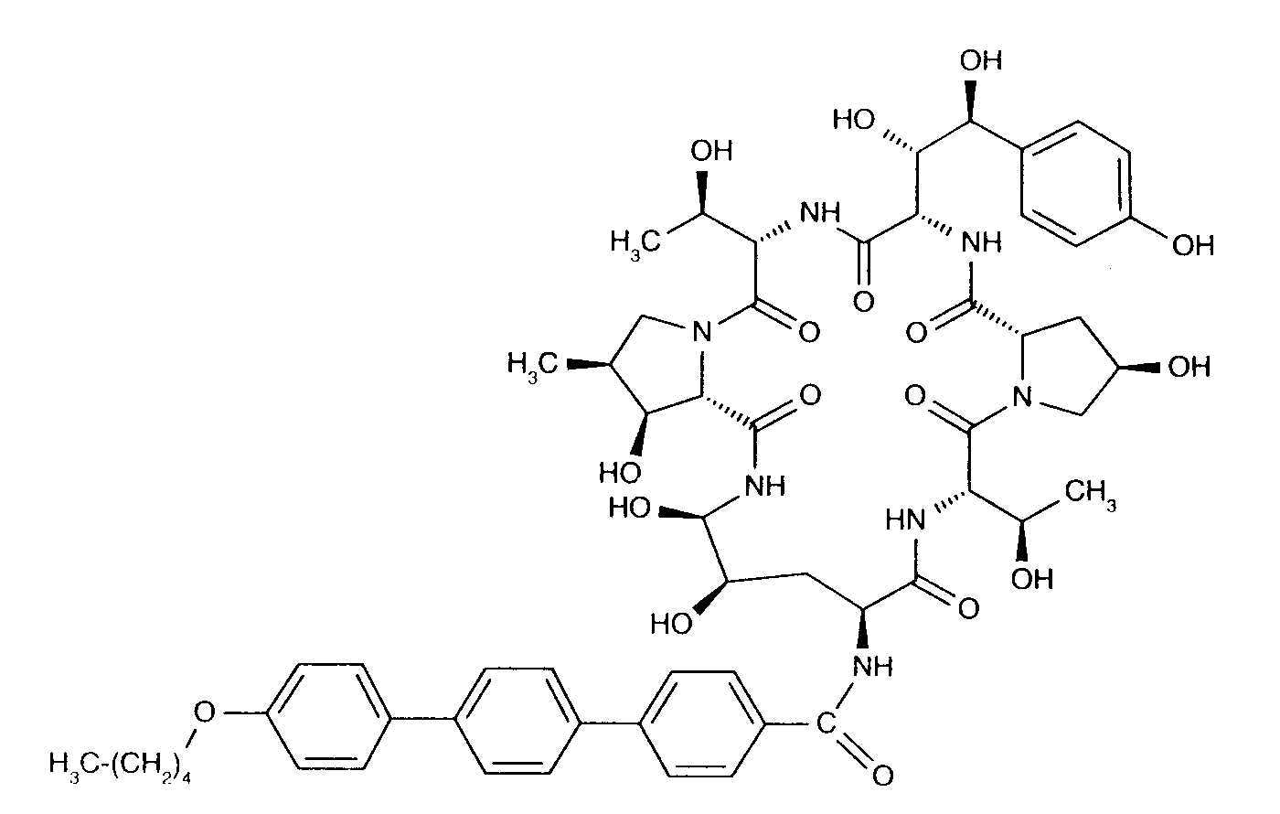
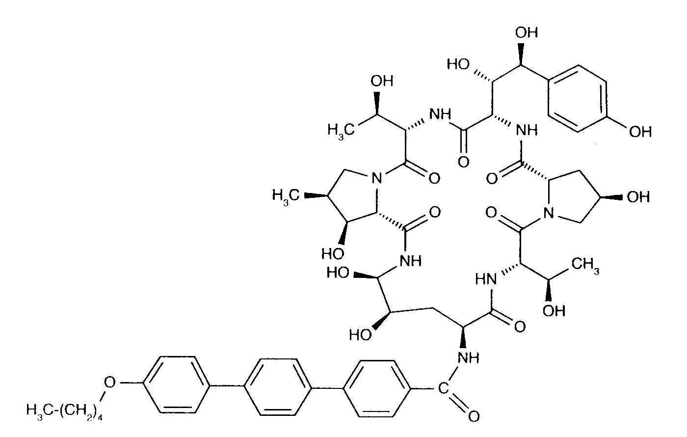
   化学式  

商品名   商品名     

商品名仅供参考, 药品所用的辅料可能依国家或厂商不同有所不同。

Anidulafungin 德国, 比利时, 英国
Anidulafungina 巴西, 西班牙
Ecalta 丹麦, 加拿大, 匈牙利, 卢森堡, 哥伦比亚, 土耳其, 委内瑞拉, 巴西, 希腊, 德国, 意大利, 挪威, 智利, 比利时, 法国, 波兰, 瑞典, 瑞士, 秘鲁, 罗马尼亚, 美国, 芬兰, 英国, 荷兰, 西班牙, 阿根廷, 马来西亚
Equalta 墨西哥
Eraxis 加拿大, 澳大利亚, 美国
Fuzig 墨西哥
溶液稳定性   注射液   溶液稳定性 : Anidulafungin     
容器 溶剂 浓度 温度 保存 穩定持續時間 引用文献
玻璃 注射用水 3.33 mg/ml 25°C 无特殊要求
24 小时
3567
生产厂家提供的稳定性数据

不详 NaCl 0,9% 0.77 mg/ml 25°C 无特殊要求
48 小时
3567
生产厂家提供的稳定性数据

不详 葡萄糖5% 0.77 mg/ml 25°C 无特殊要求
48 小时
3567
生产厂家提供的稳定性数据


  Mentions Légales