viimane versioon :
17/12/2025
Seenevastane ravim   Anidulafungin  
Süsteravim
Stabiilsus lahustes Stabiilsust mõjutavad tegurid stabiilsust mõjutavad faktorid Sobimatus Manustamis viis Viited pdf
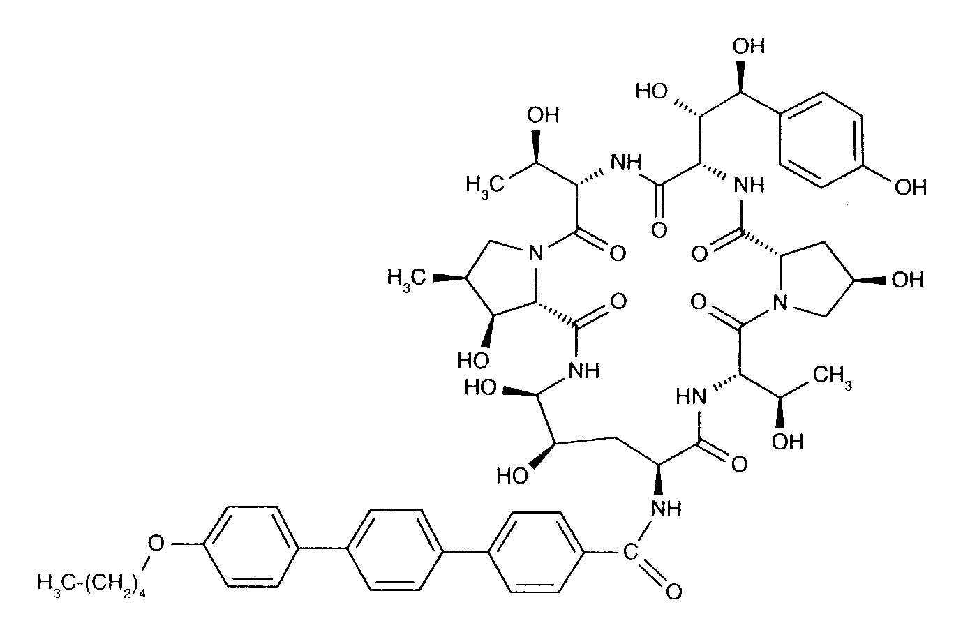
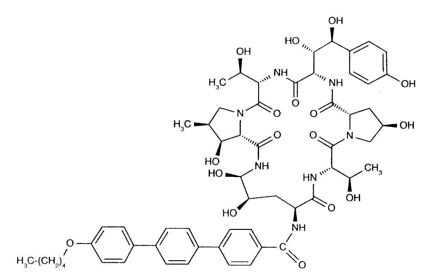
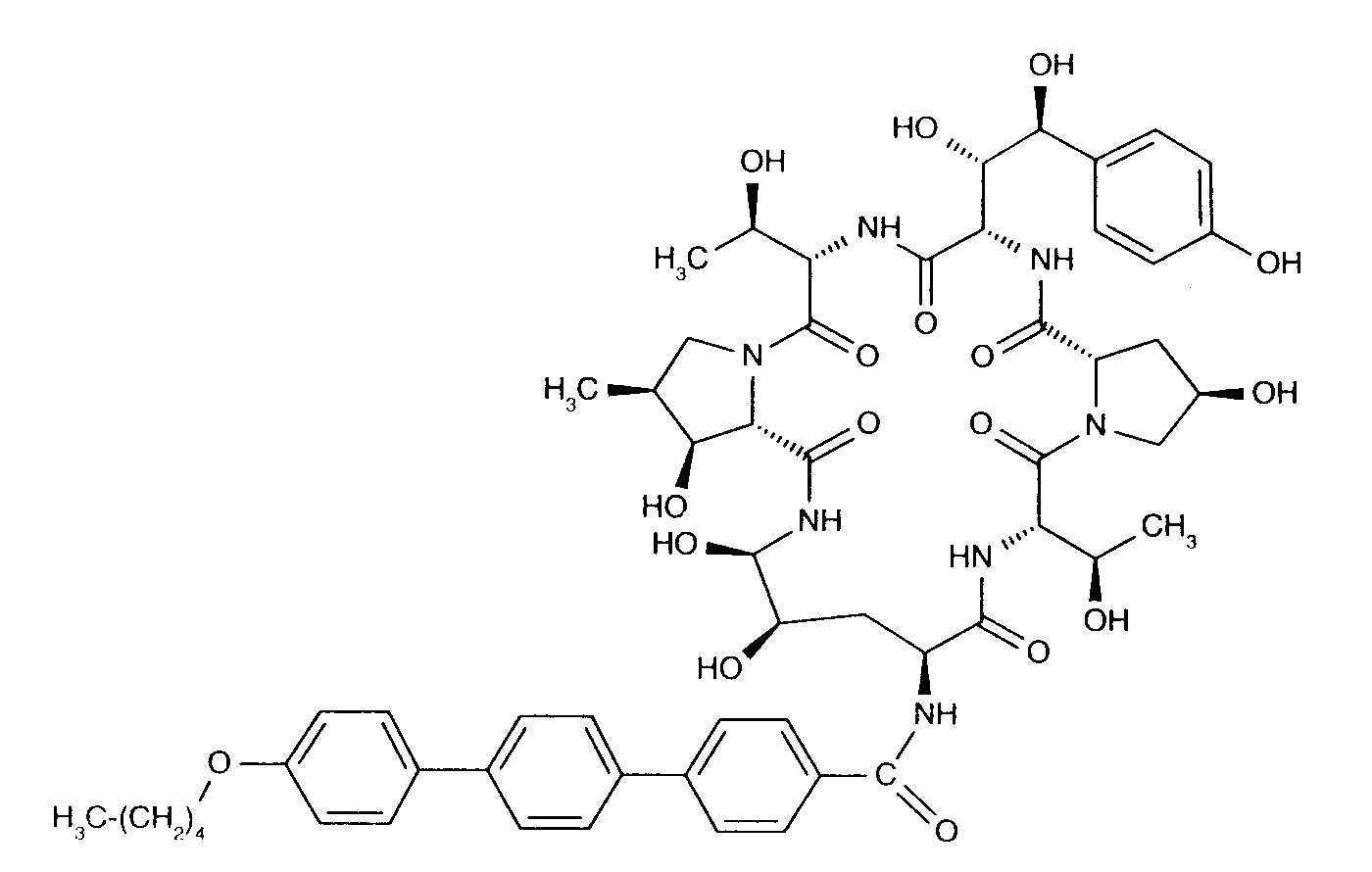
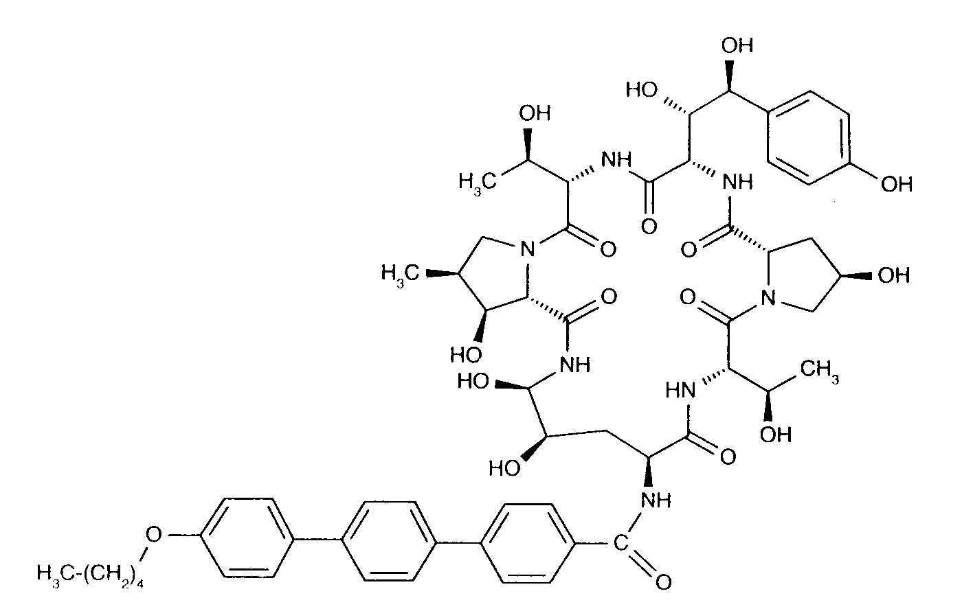
   keemiline struktuur  

Kaubanduslikud nimed erinevates maades   Kaubanduslikud nimed erinevates maades     

Preparaatide nimed on näitlikud ja abianete sisaldus võib erineda sõltuvalt riigist ja laborist

Anidulafungin Belgia, Saksamaa, Suurbritannia
Anidulafungina Brasiilia, Hispaania
Ecalta Ameerika ühendriigid, Argentiina, Belgia, Brasiilia, Hispaania, Holland, Itaalia, Kanada, Kolumbia, Kreeka, Luksemburg, Malaisia, Maroko, Norra, Poola, Prantsusmaa, Rootsi, Rumeenia, Saksamaa, Soome, Suurbritannia, Sveits, Taani, Tšiili, Türgi, Ungari, Venetsueela
Equalta Mehhiko
Eraxis Ameerika ühendriigid, Austraalia, Kanada
Fuzig Mehhiko
Stabiilsus lahustes   Süsteravim   Stabiilsus lahustes : Anidulafungin     
konteiner lahusti kontsentratsioon temperatuur ladustamine Stabiilsuse kestus Viited
klaas süstevesi 3.33 mg/ml 25°C pole täpsustatud
24 Tund
3567
Tootja info stabiilsuse kohta

pole täpsustatud naatriumkloriid 0.9% 0.77 mg/ml 25°C pole täpsustatud
48 Tund
3567
Tootja info stabiilsuse kohta

pole täpsustatud glükoos 5% 0.77 mg/ml 25°C pole täpsustatud
48 Tund
3567
Tootja info stabiilsuse kohta


  Mentions Légales