Ostatnia aktualizacja :
27/11/2025
Lek przeciwgrzybiczny   Anidulafungin  
Injekcje
Trwałość roztworów Trwałość w mieszaninie Czynnik wpływający na trwałość Zgodność Sposób podania Bibliografia pdf
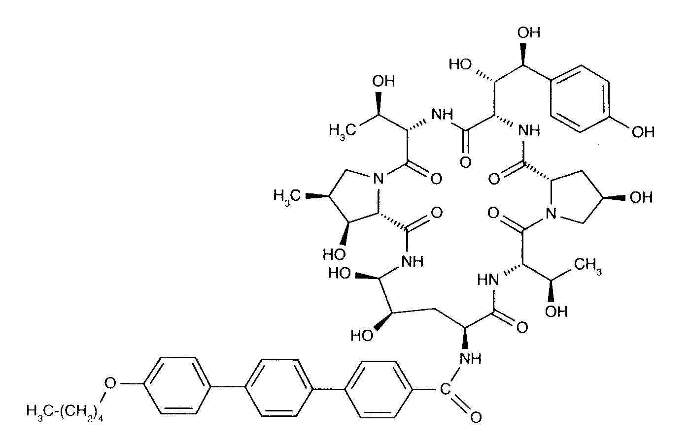
   Struktura chemiczna  

Nazwa handlowa   Nazwa handlowa     

Trade names are indicative and excipients composition can be different depending on the country and manufacturers

Anidulafungin Belgia, Niemcy, Wielka Brytania
Anidulafungina Brazylia, Hiszpania
Ecalta Argentyna, Belgia, Brazylia, Chile, Dania, Finlandia, Francja , Grecja, Hiszpania, Holandia, Kanada, KolumbiaKolumbia, Luksemburg, Malezja, Niemcy, Norwegia, Peru, Polska, Rumunia, Stany Zjednoczone Ameryki, Szwajcaria, Szwecja, Turcja, Węgry, Wenezuela, Wielka Brytania, Włochy
Equalta Meksyk
Eraxis Australia, Kanada, Stany Zjednoczone Ameryki
Fuzig Meksyk
Trwałość roztworów   Injekcje   Trwałość roztworów : Anidulafungin     
Pojemnik Rozpuszczalnik Stężenie Temperatura Przechowywanie Czas trwania stabilności Bibliografia
Szkło Woda do wstrzyknięć 3.33 mg/ml 25°C Nie wyszczególniony
24 Godzina
3567
Dane stabilności producenta

Brak informacji Chlorek sodu 0,9% 0.77 mg/ml 25°C Nie wyszczególniony
48 Godzina
3567
Dane stabilności producenta

Brak informacji Glukoza 5% 0.77 mg/ml 25°C Nie wyszczególniony
48 Godzina
3567
Dane stabilności producenta


  Mentions Légales