最新更新 :
27/11/2025
抗真菌薬   Anidulafungin  
注射薬
溶媒内の安定性 混合時の安定性 安定性に影響する因子 互換性 投与経路 引用文献 PDF
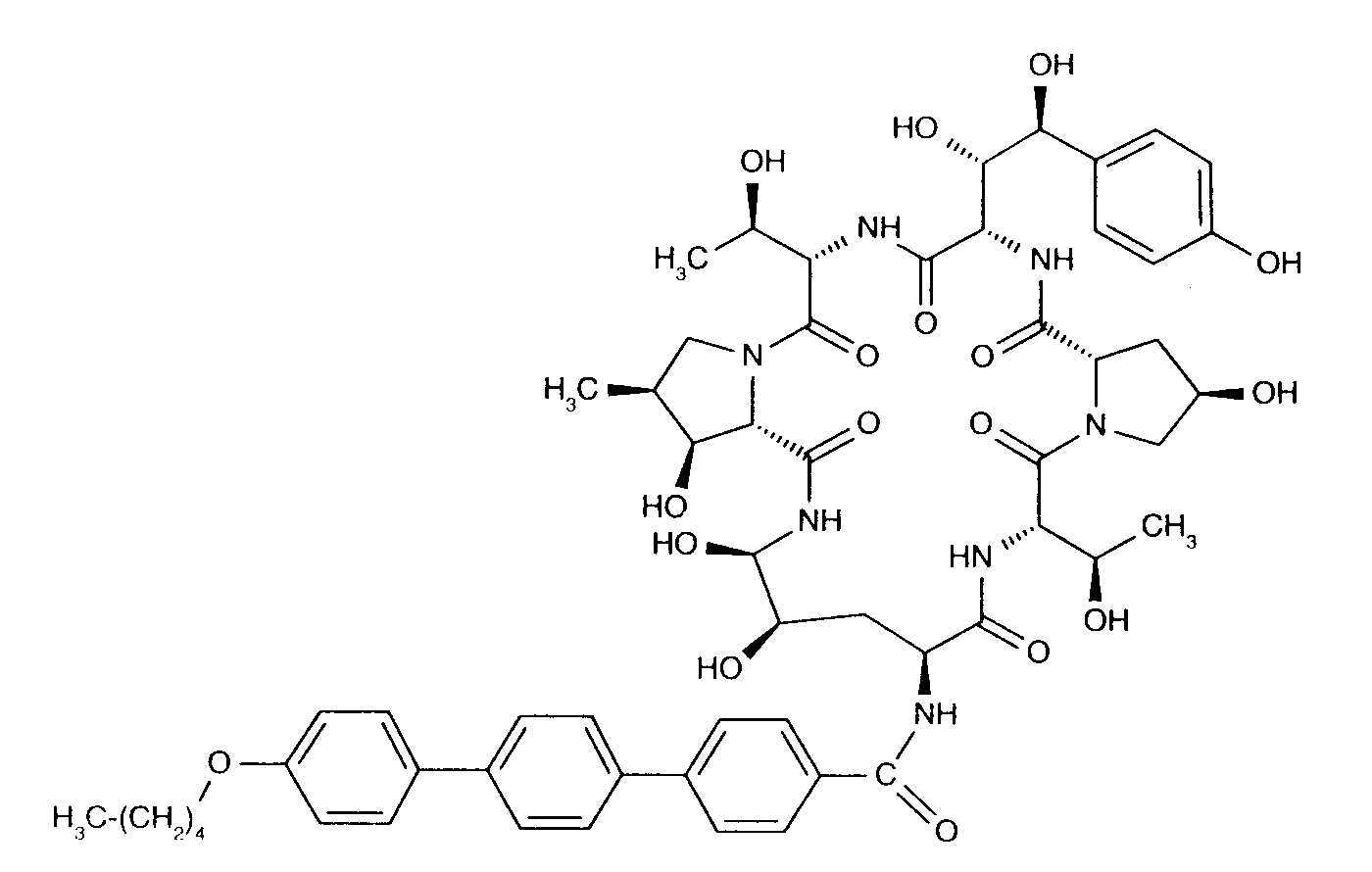
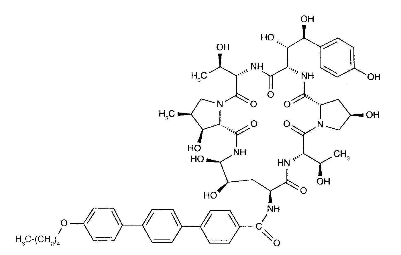
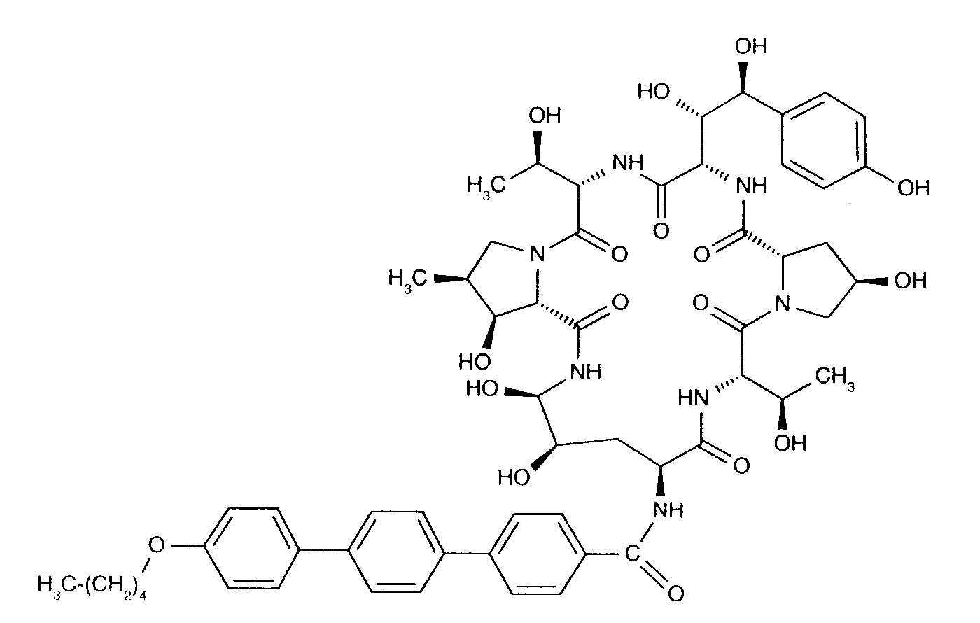
   化学構造  

商品名   商品名     

商品名、賦形剤は国、製薬会社ごとに異なることがあります

Anidulafungin イギリス, ドイツ, ベルギー
Anidulafungina スペイン, ブラジル
Ecalta アメリカ, アルゼンチン, イギリス, イタリア, オランダ, カナダ, ギリシア, コロンビア, スイス, スウェーデン, スペイン, チリ, デンマーク, トルコ, ドイツ, ノルウェー, ハンガリー, フィンランド, フランス, ブラジル, ベネズエラ, ベルギー, ペルー, ポーランド, マレーシア, ルクセンブルグ, ルーマニア
Equalta メキシコ
Eraxis アメリカ, アーストラリア, カナダ
Fuzig メキシコ
溶媒内の安定性   注射薬   溶媒内の安定性 : Anidulafungin     
容器 溶媒 濃度 温度 保管 安定期間 引用文献
ガラス 注射用水 3.33 mg/ml 25°C 特記なし
24 時間
3567
製薬会社の安定性データ

指定なし NaCl 0,9% 0.77 mg/ml 25°C 特記なし
48 時間
3567
製薬会社の安定性データ

指定なし グルコース5% 0.77 mg/ml 25°C 特記なし
48 時間
3567
製薬会社の安定性データ


  Mentions Légales