Pēdējā atjaunošana :
17/12/2025
Pretsēnīšu līdzeklis   Anidulafungin  
Injekcija
Šķīduma stabilitāte Maisījuma stabilitāte Stabilitāti ietekmējoši faktori Saderība Levadīšanas veids Literatūras saraksts pdf
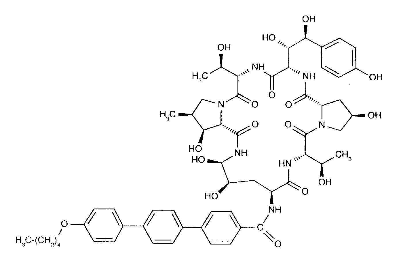
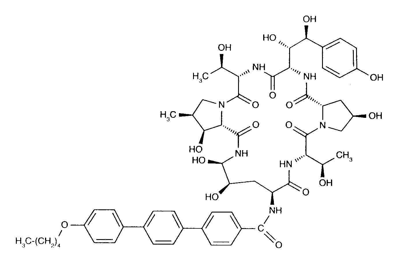
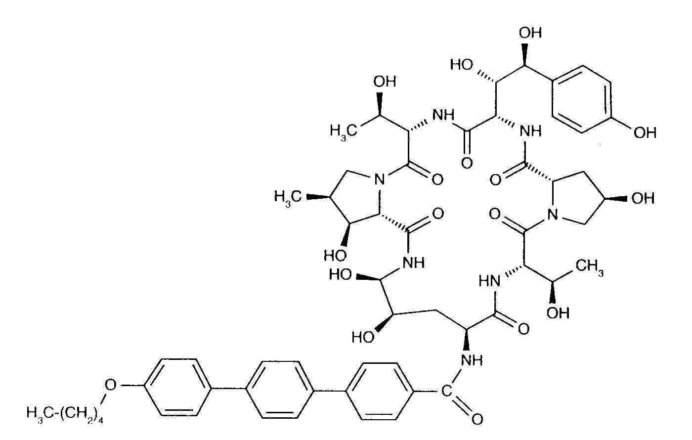
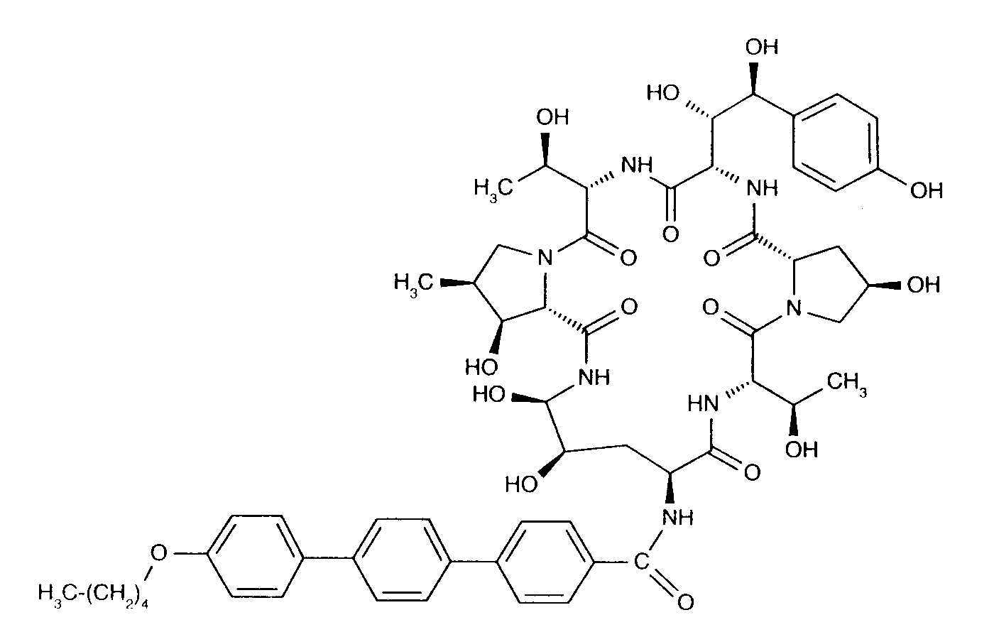
   Ķīmiskā uzbūve   

Oriģinālais nosaukums   Oriģinālais nosaukums     

Tirdzniecības nosaukumi ir apzīmējoši un palīgvielas var atšķirties dažādām valstīm un laboratorijām

Anidulafungin Beļģija, Lielbritānija, Vācija
Anidulafungina Brazīlija, Spānija
Ecalta Amerikas Savienotās Valstis, Argentīna, Beļģija, Brazīlija, Čīle, Dānija, Francija, Grieķija, Holande, Itālija, Kanāda, Kolumbija, Lielbritānija, Luksemburga, Malaizija, Norvēģija, Peru, Polija, Rumānija, Somija, Spānija, Šveice, Turcija, Ungārija, Vācija, Venecuēla, Zviedrija
Equalta Meksika
Eraxis Amerikas Savienotās Valstis, Austrālija, Kanāda
Fuzig Meksika
Šķīduma stabilitāte   Injekcija   Šķīduma stabilitāte : Anidulafungin     
Iepakojums Šķīdinātājs Koncentrācija Temperatūra Glabāšana Stabilitātes ilgums Literatūras saraksts
Stikls Ūdens injekcijām 3.33 mg/ml 25°C Nav specifisks
24 Stunda
3567
Ražotāja stabilitātes dati

Nespecifisks Nātrija hlorīds 0.9% 0.77 mg/ml 25°C Nav specifisks
48 Stunda
3567
Ražotāja stabilitātes dati

Nespecifisks 5% glikoze 0.77 mg/ml 25°C Nav specifisks
48 Stunda
3567
Ražotāja stabilitātes dati


  Mentions Légales