Última actualização :
27/11/2025
Antifúngico   Anidulafungin  
injetável
Estabilidade em soluções simples Estabilidade em misturas Factores que afectam a sua estabilidade Compatibilidade Método de administração Bibliografía pdf
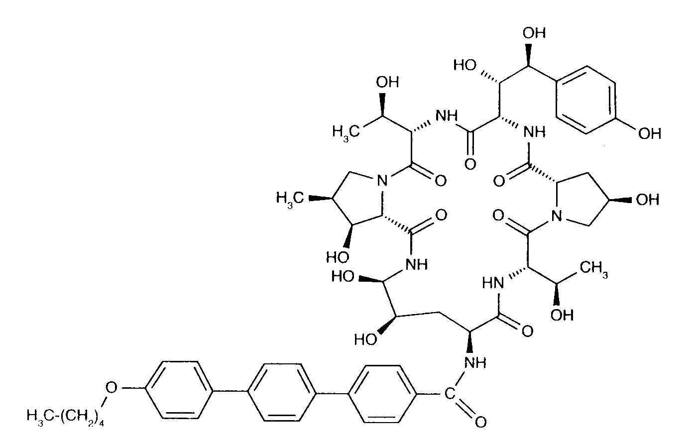
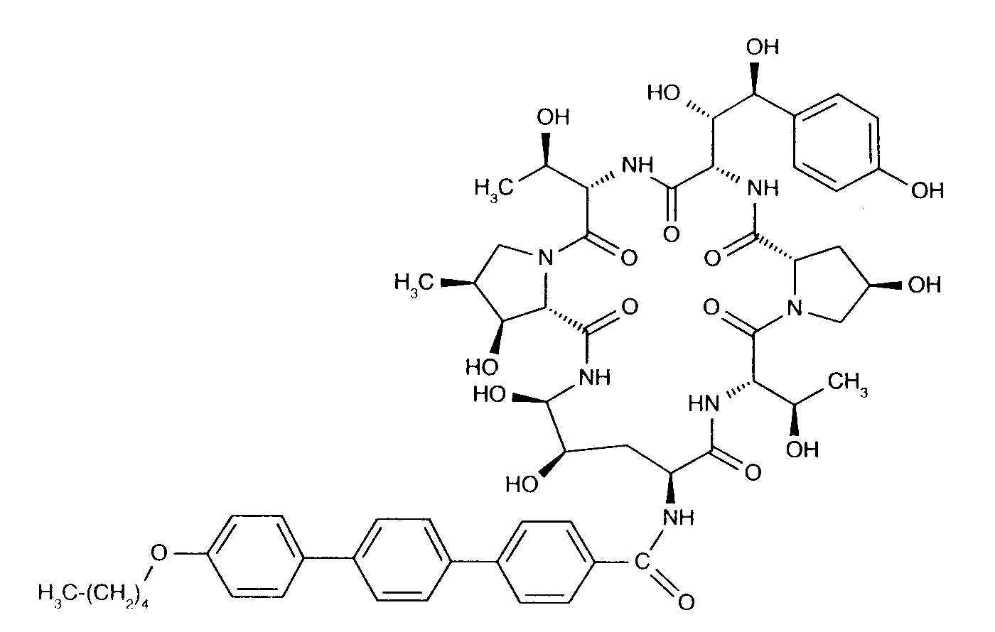
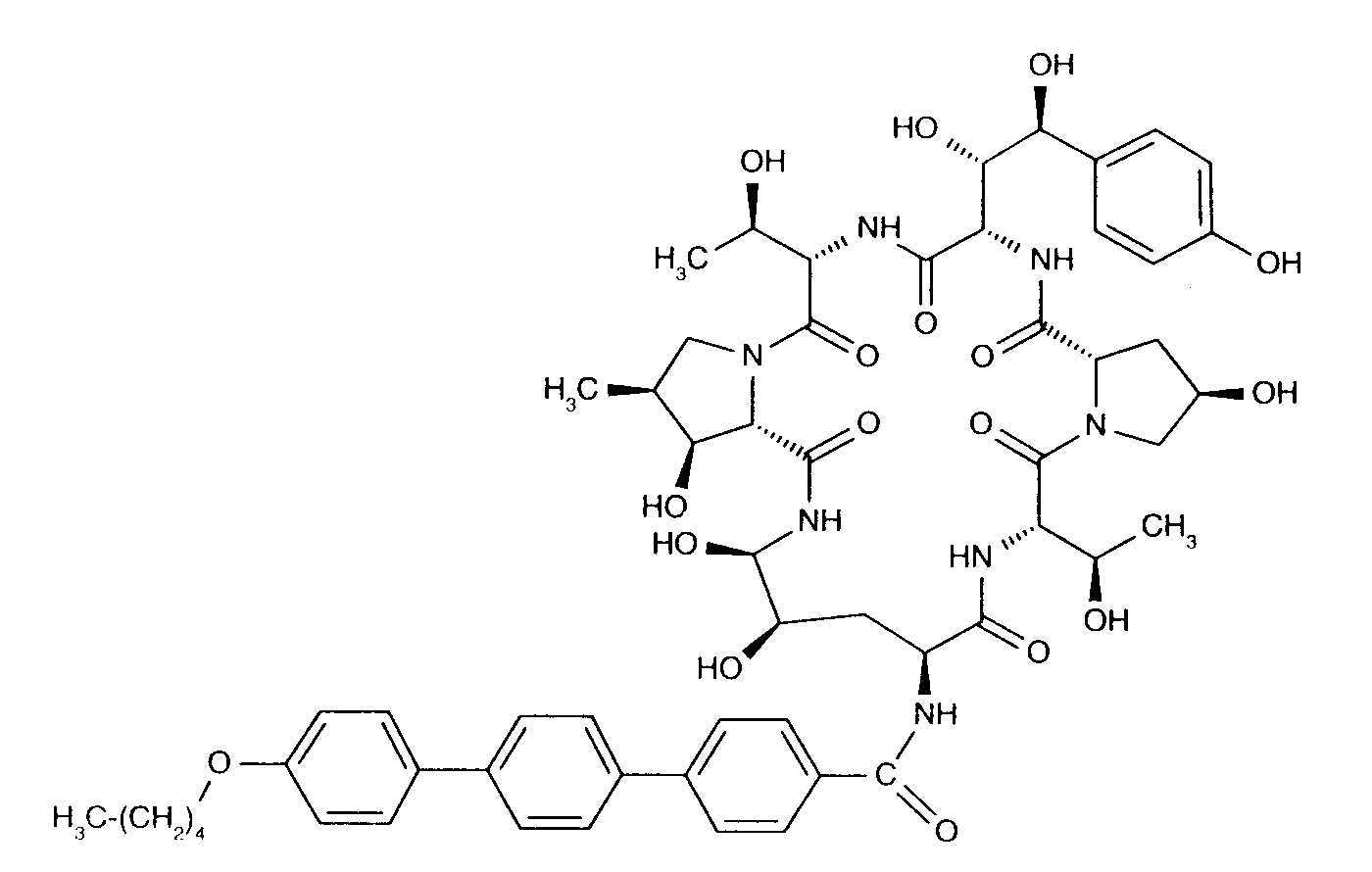
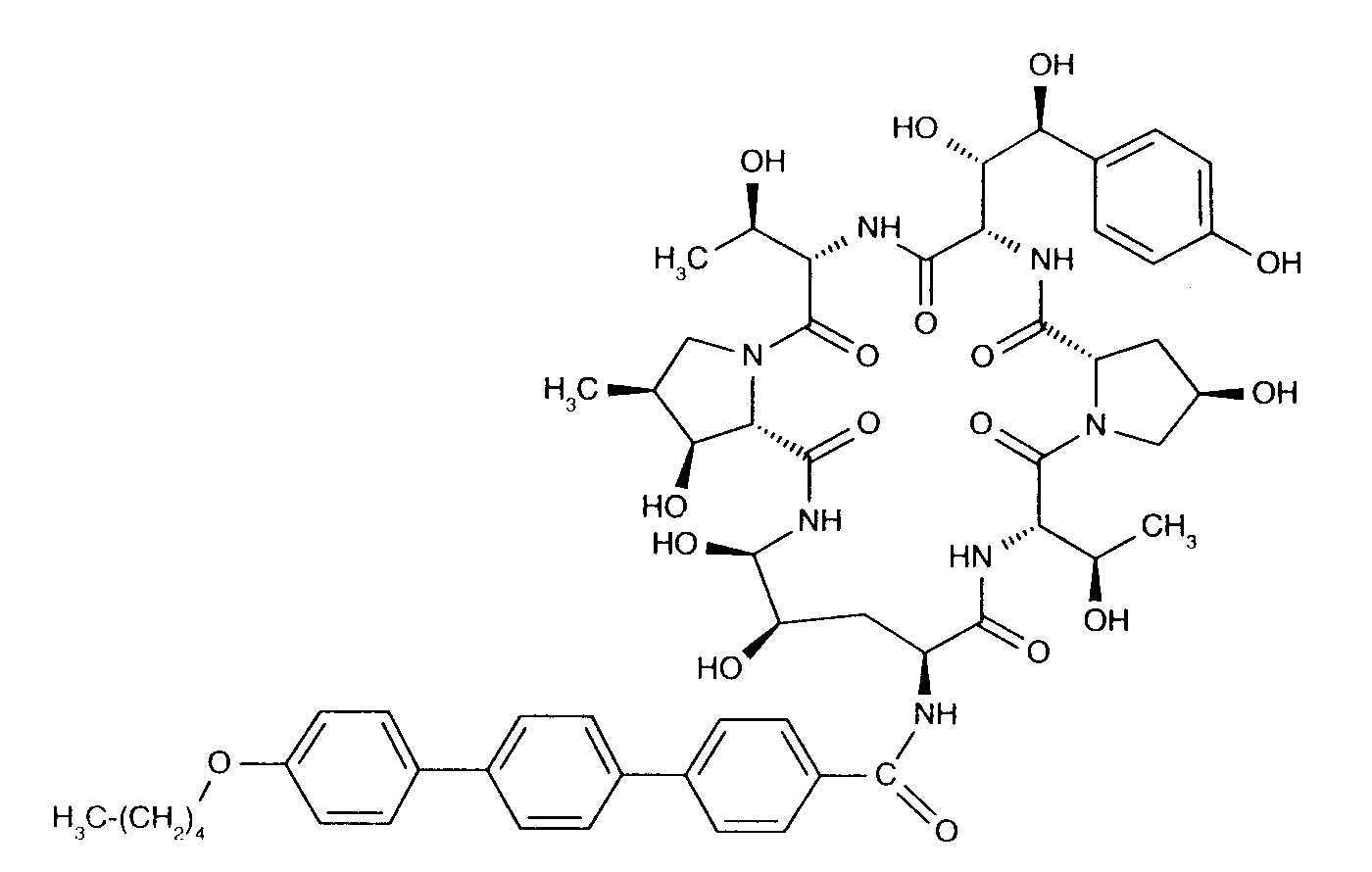
   estrutura química  

Nomes comerciais nos diversos países   Nomes comerciais nos diversos países     

OS NOMES COMERCIAIS SÃO INDICATIVOS E OS EXCIPIENTES DA FORMULAÇÃO PODEM SER DIFERENTES CONFORME O PAÍS E FABRICANTE.

Anidulafungin Alemanha, Bélgica, Gran-bretanha
Anidulafungina Brasil, Espanha
Ecalta Alemanha, Argentina, Bélgica, Brasil, Canadá, Chilli, Colômbia, Dinamarca, Espanha, Estados Unidos de América, Finlandia, França, Gran-bretanha, Grècia, Hungria, Itália, Luxemburgo, Malásia, Noruega, Países Baixos, Peru, Polonia, Romènia, Suècia, Suicia, Turquia, Venezuela
Equalta México
Eraxis Australia, Canadá, Estados Unidos de América
Fuzig México
Estabilidade em misturas   injetável   Estabilidade em misturas : Anidulafungin     
Ausência de dados

  Mentions Légales