Последно актуализиране :
27/11/2025
Противогъбично средство   Anidulafungin  
Инжекция/Инжекционен
Стабилност на разтвори Стабилност на смеси Фактори, повлияващи стабилността Съвместимост Път на въвеждане Библиография Pdf
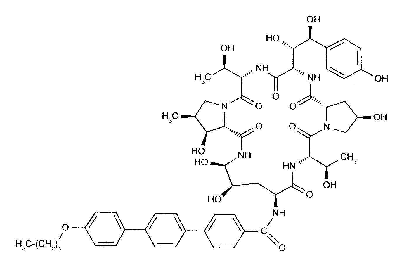
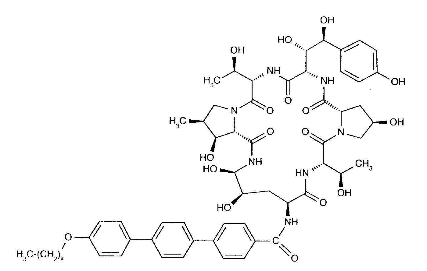
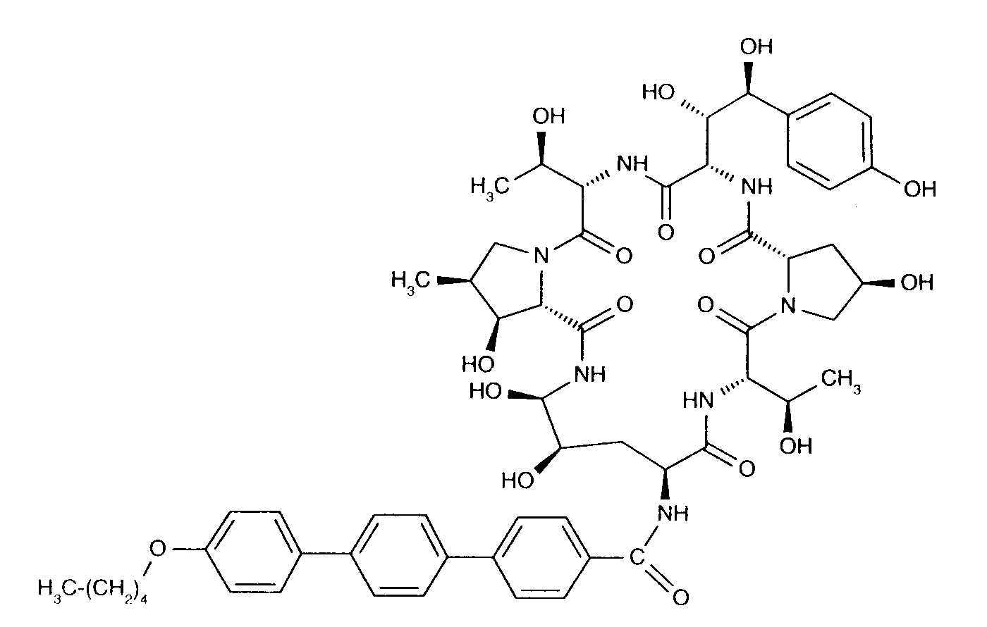
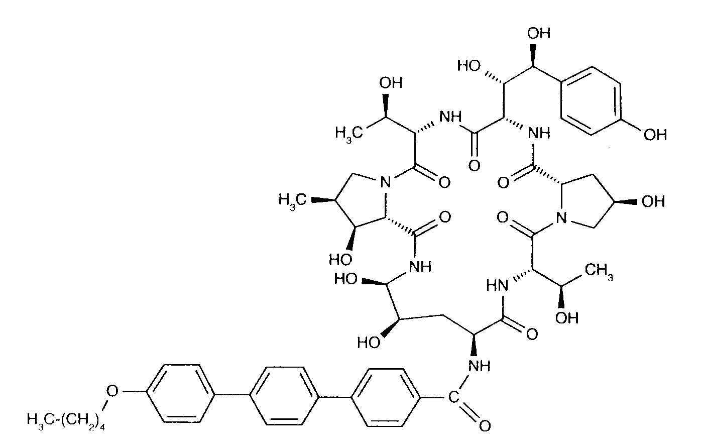
   Химична структура  

Търговско наименование   Търговско наименование     

Търговските имена са примерни и съставът на помощните вещества може да бъде различен в зависимост от държавата и лабораториите

Anidulafungin Белгия, Великобритания, Германия
Anidulafungina Бразилия, Испания
Ecalta Аржентина, Белгия, Бразилия, Великобритания, Венецуела, Германия, Гърция, Дания, Испания, Италия, Канада, Колумбия, Люксенбург, Малайзия, Норвегия, Перу, Полша, Румъния, Съединени Американски щати / САЩ, Турция, Унгария, Финландия, Франция, Холандия, Чили, Швейцария, Швеция
Equalta Мексико
Eraxis Австралия, Канада, Съединени Американски щати / САЩ
Fuzig Мексико
Стабилност на смеси   Инжекция/Инжекционен   Стабилност на смеси : Anidulafungin     
Няма данни

  Mentions Légales