Viimeisin päivitys :
17/12/2025
Sienilääkkeet   Anidulafungin  
Injektioneste
Stabilius liuoksessa Stabilius seoksissa Tekijät, jotka vaikuttavat stabiliuteen Yhteensopivuus Antotapa Viitteet pdf
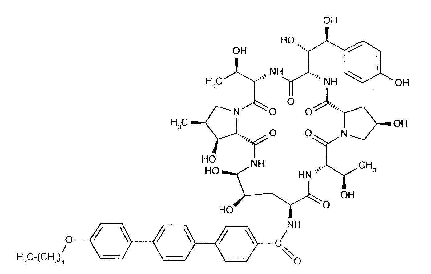
   Kemiallinen rakenne  

Kauppanimi   Kauppanimi     

Trade names are indicative and excipients composition can be different depending on the country and manufacturers

Anidulafungin Belgia, Iso-Britannia, Saksa
Anidulafungina Brasilia, Espanja
Ecalta Argentiina, Belgia, Brasilia, Chile, Espanja, Hollanti, Iso-Britannia, Italia, Kanada, Kolumbia, Kreikka, Luxemburg, Malesia, Marokko, Norja, Puola, Ranska, Romania, Ruotsi, Saksa, Suomi, Sveitsi, Tanska, Turkki, Unkari, Venezuela, Yhdysvallat
Equalta Meksiko
Eraxis Australia, Kanada, Yhdysvallat
Fuzig Meksiko
Stabilius seoksissa   Injektioneste   Stabilius seoksissa : Anidulafungin     
ei tietoa

  Mentions Légales