Laatste update :
27/11/2025
Antimycoticum   Anidulafungin  
injecteerbaar geneesmiddel
Stabiliteit in oplossing Stabiliteit in mengsels Factoren die de stabiliteit beïnvloeden Verenigbaarheden Toedieningswijze Literatuur pdf
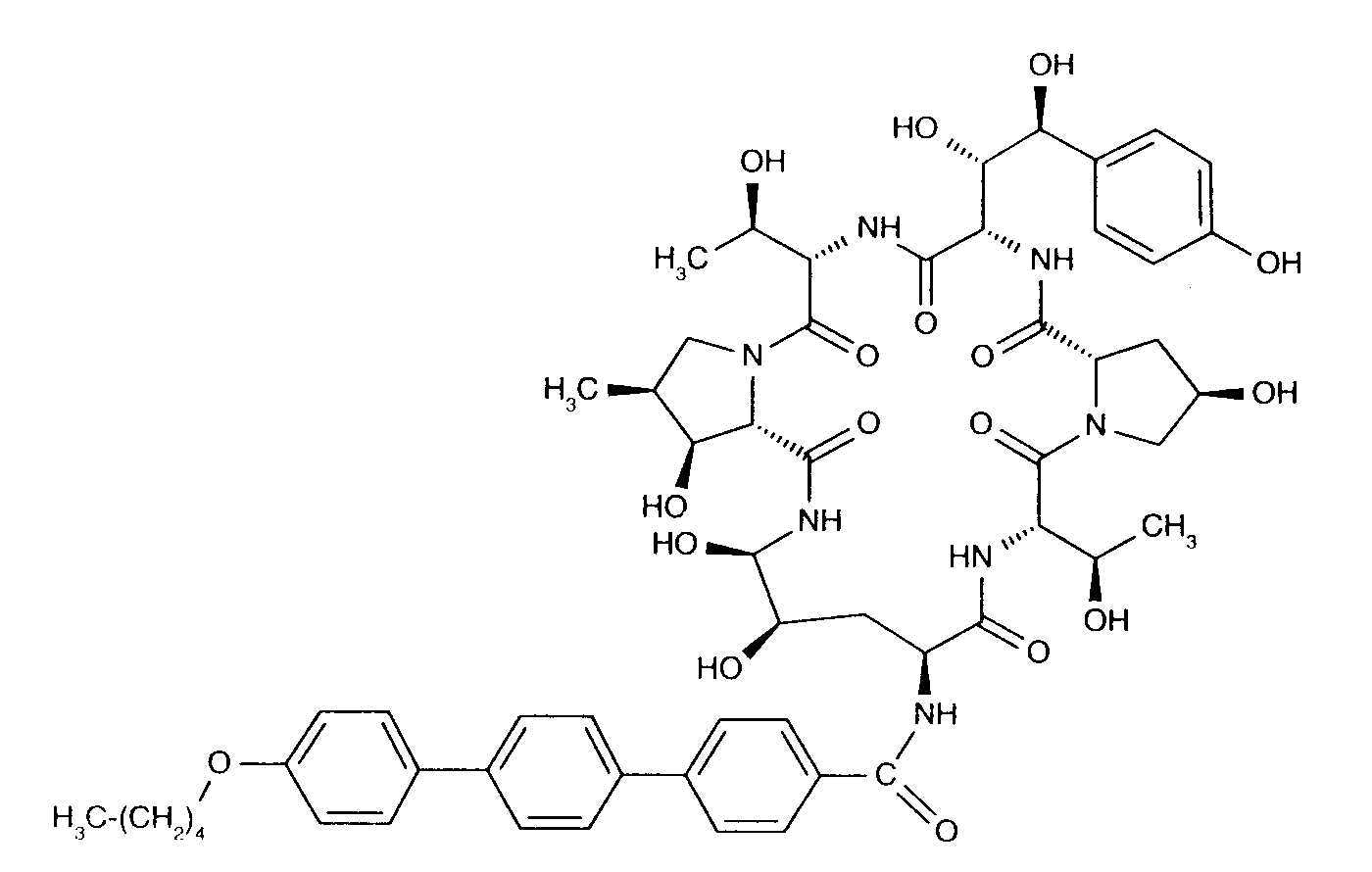
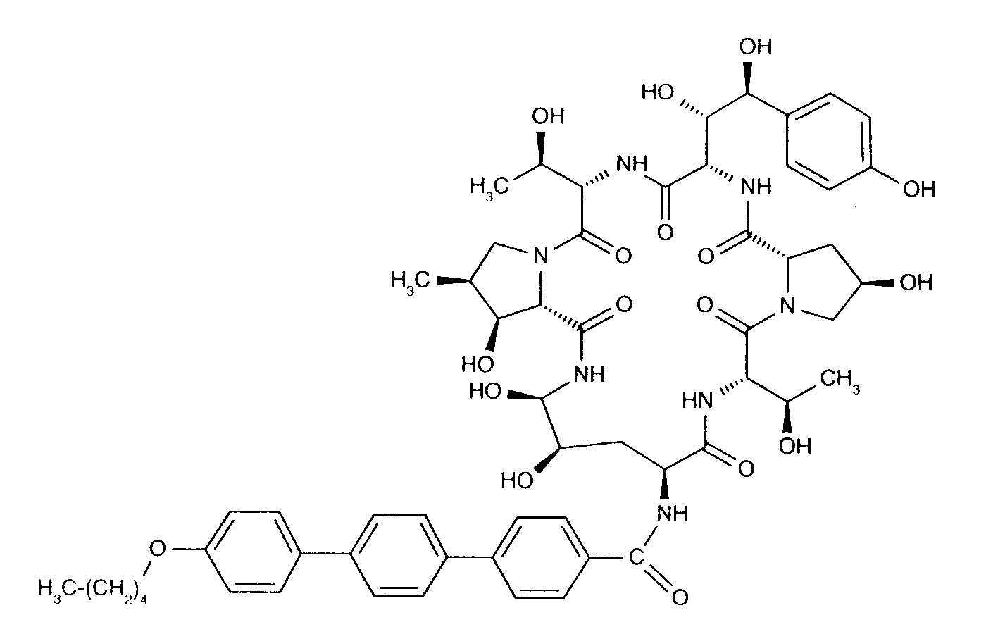
   Molecuulstructuur  

Merknamen in verschillende landen   Merknamen in verschillende landen     

Handelsnamen zijn slechts een indicatie; de samenstelling van hulpstoffen kan per land variëren afhankelijk van de fabrikant

Anidulafungin België, Duitsland, Groot Britannië
Anidulafungina Brazilië, Spanje
Ecalta Argentinië, België, Brazilië, Canada, Chili, Colombia, Denemarken, Duitsland, Finland, Frankrijk, Griekenland, Groot Britannië, Hongarije, Italië, Luxemburg, Maleisië, Nederland, Noorwegen, Peru, Polen, Roemenië, Spanje, Turkije, USA, Venezuela, Zweden, Zwitserland
Equalta Mexico
Eraxis Australië, Canada, USA
Fuzig Mexico
Stabiliteit in mengsels   injecteerbaar geneesmiddel   Stabiliteit in mengsels : Anidulafungin     
geen gegevens

  Mentions Légales