Zadnji put ažurirano :
17/12/2025
antifungicid   Anidulafungin  
injekcija
Stabilizacija rješenja Stabilnost mješavine Stabilizacijski faktor Kompatibilnosti način davanja lijeka Bibliografija pdf
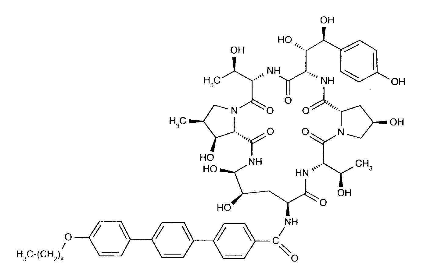
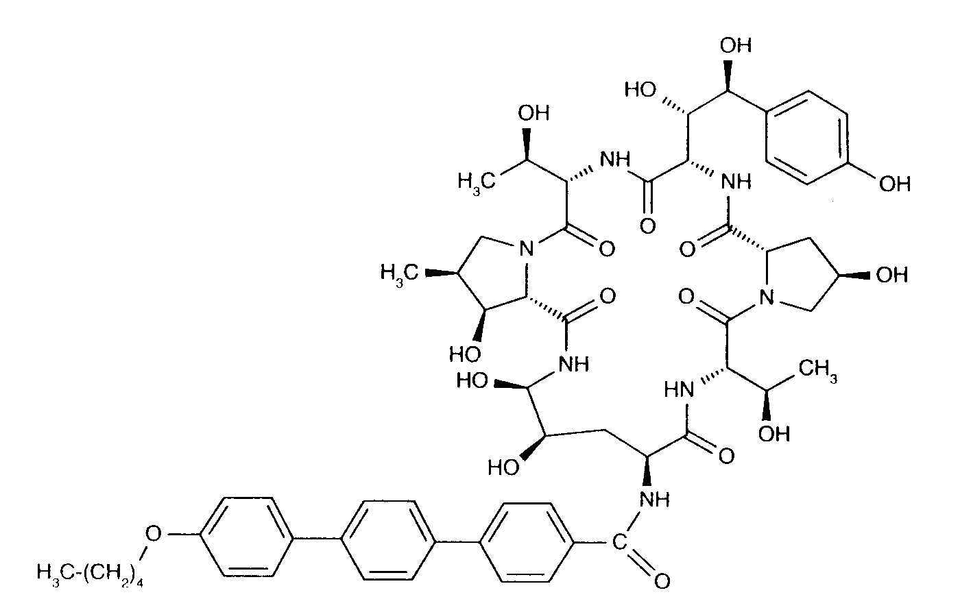
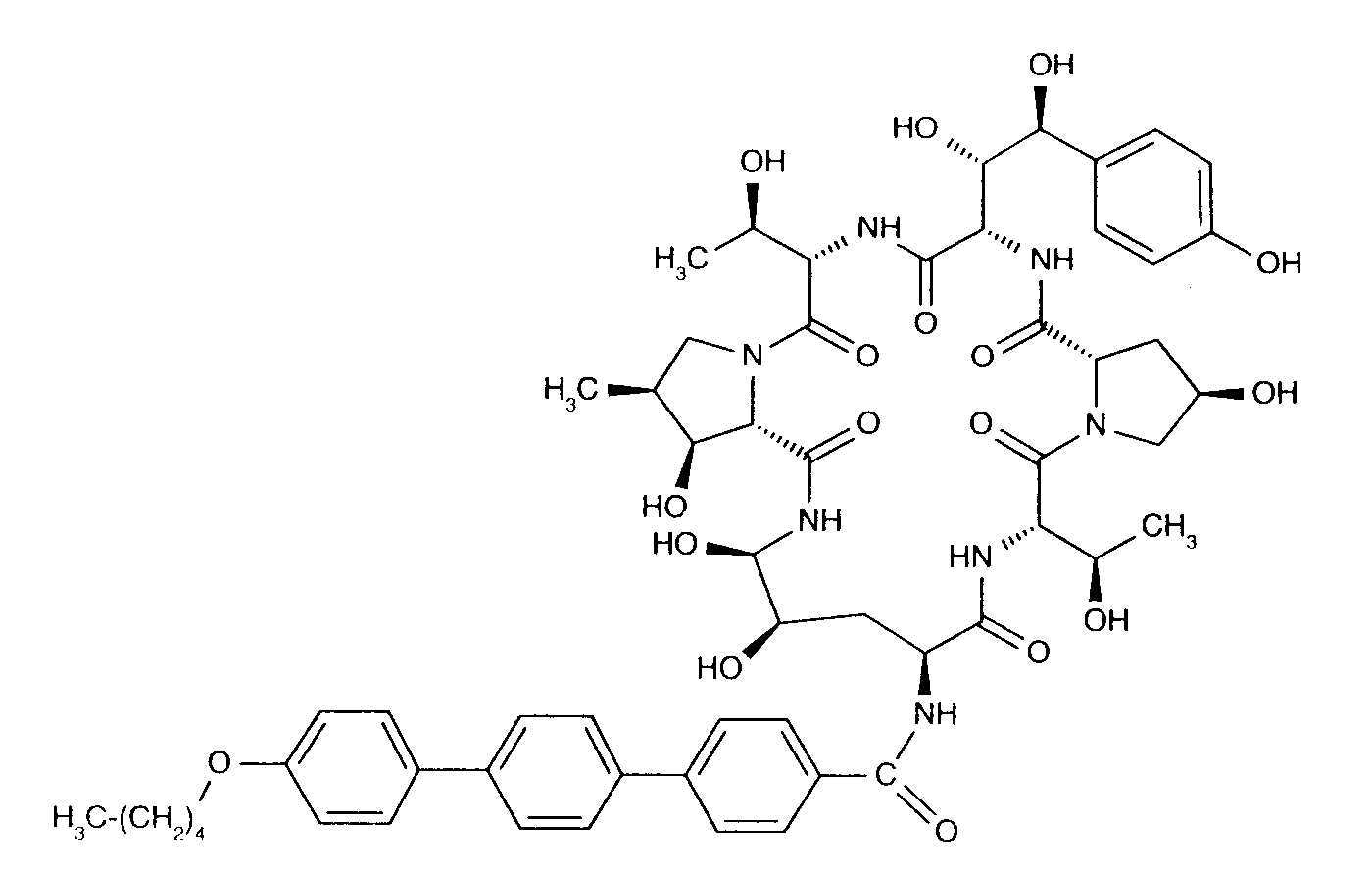
   Kemijska struktura  

Nekomercijalni   Nekomercijalni     

Zaštićeni nazivi su indikativni i sastav ekscipijensa može biti različit ovisno o državi i laboratorijima

Anidulafungin Belgija, Njemačka, Velika Britanija
Anidulafungina Brazil, Španjolska
Ecalta Argentina, Belgija, Brazil, Čile, Danska, Finska, Francuska, Grčka, Italija, Kanada, Kolumbija, Luksemburg, Madžarska, Malezija, Nizozemska, Njemačka, Norveška, Peru, Poljska, Rumunjska, S A D, Španjolska, Švedska, Švicarska, Turska, Velika Britanija, Venecuela
Equalta Meksiko
Eraxis Australija, Kanada, S A D
Fuzig Meksiko
Stabilnost mješavine   injekcija   Stabilnost mješavine : Anidulafungin     
bez podataka

  Mentions Légales