Ultimo aggiornamento :
17/12/2025
Antimicotico   Anidulafungin  
Iniezione
Stabilità in soluzione Stabilità in miscela Fattori che influenzano la stabilità Compatibilità metodo di iniezione Bibliografia pdf
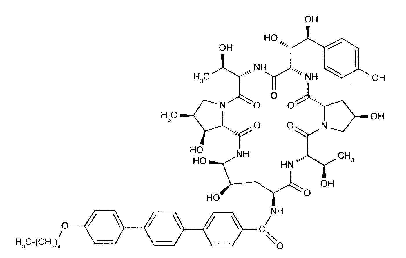
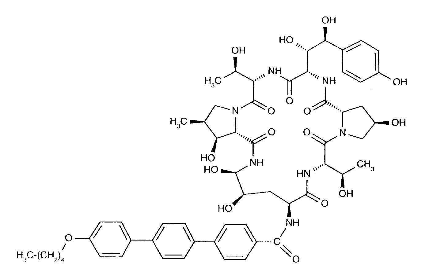
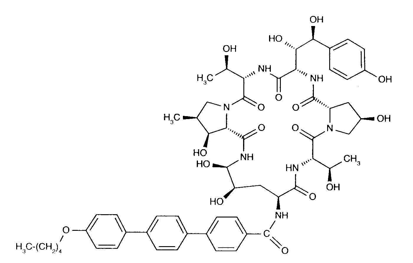
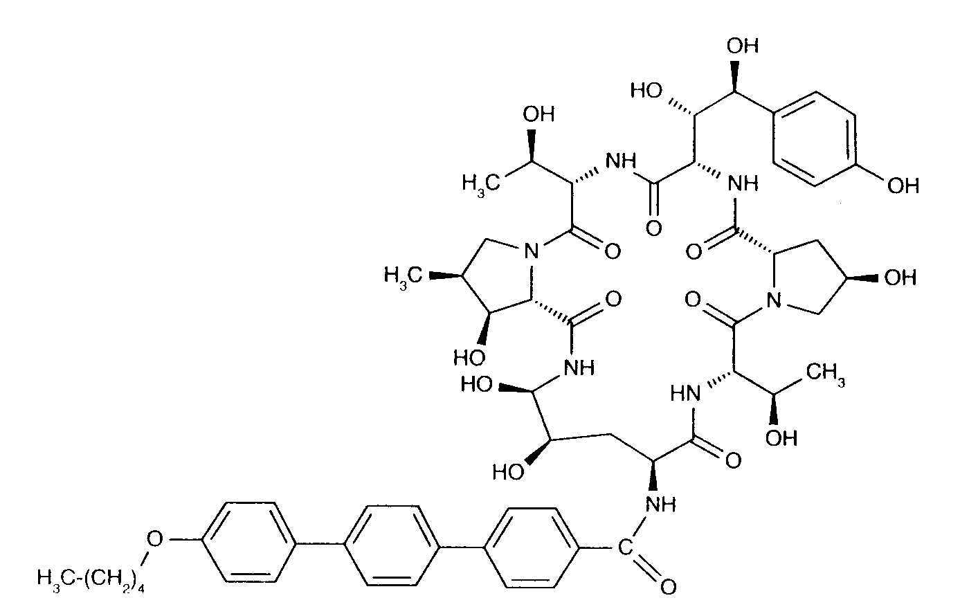
   Struttura chimica  

Nome commerciale   Nome commerciale     

Trade names are indicative and excipients composition can be different depending on the country and manufacturers

Anidulafungin Belgio, Germania, Gran Bretagna
Anidulafungina Brasile, Spagna
Ecalta Argentina, Belgio, Brasile, Canada, Chile, Colombia, Danimarca, Finlandia, Francia, Germania, Gran Bretagna, Grecia, Italia, Lussemburgo, Malaysia, Norvegia, Paesi Bassi, Perù, Polonia, Romania, Spagna, Stati Uniti d’America, Svezia, Svizzera, Turchia, Ungheria, Venezuela
Equalta Messico
Eraxis Australia, Canada, Stati Uniti d’America
Fuzig Messico
Stabilità in miscela   Iniezione   Stabilità in miscela : Anidulafungin     
Assenza di dati

  Mentions Légales