Senaste uppdateringen :
18/03/2026
Antibiotikum   Clindamycin phosphate  
injektion
Lösningars stabilitet Stabilitet i blandningar Faktorer som påverkar stabiliteten Kompatibilitet Administreringssätt Hänvisningar pdf
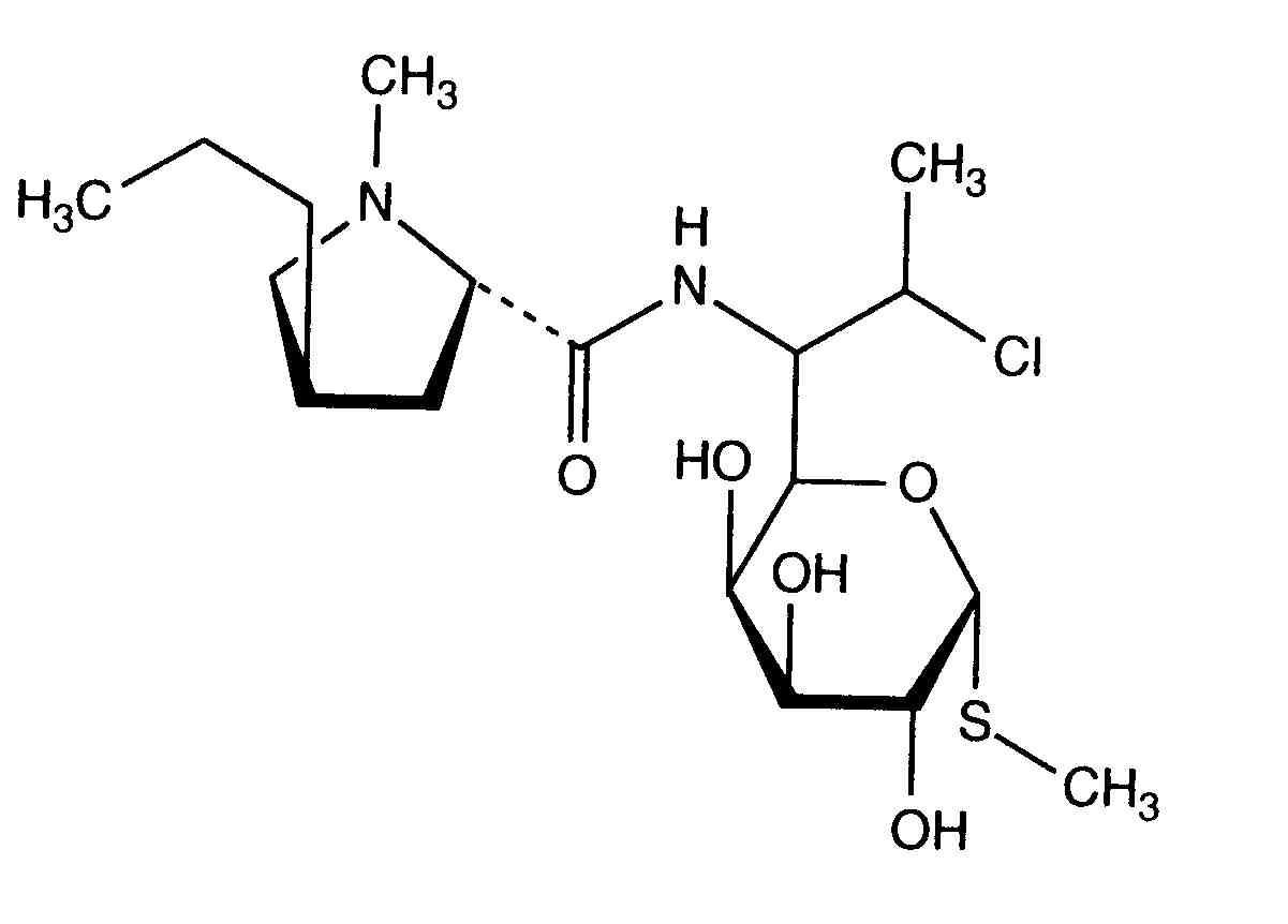
   Molekylstruktur  

Varunamn   Varunamn     

Angivna handelsnamn på läkemedel är enbart vägledande då formulering inklusive hjälpämnen kan variera mellan länder och tillverkare

Biodaclin Mexiko
Camyda Indien
Cinbiot Mexiko
Cleocin Förenta Staterna, Österrike, Turkiet
Clinamsa Mexiko
Clinbac Colombia, Peru
Clincina Portugal
Clinda-Saar Tyskland
Clindacid Venezuela
Clindacin Malaysia
Clindalaf Argentina
Clindamicina Argentina, Brasilien, Chile, Colombia, Ecuador, Italien, Mexiko, Peru, Portugal, Spanien, Venezuela
Clindamycin Förenta Staterna, Iran, Kanada, Norge, Österrike, Rumänien, Saudi-Arabien, Sverige, Tyskland
Clindamycin-Hameln Tyskland
Clindamycine Belgien, Frankrike, Nederländerna, Tunisien
Clindanovag Argentina
Clindarix Brasilien
Clindasol Tyskland
Clindaval Venezuela
Clindazyn Mexiko
Clindo Polen
Clysvic Mexiko
Daclin Chile
Dalacin Australien, Belgien, Chile, Colombia, Danmark, Ecuador, Egypten, Finland, Förenade Arabemiraten, Grekland, Indien, Iran, Irland, Island, Italien, Kanada, Luxemburg, Malaysia, Mexiko, Nederländerna, Norge, nya Zeeland, Polen, Saudi-Arabien, Schweiz, Storbritannien, Sverige, Tunisien, Ungern, Venezuela
Dalacine Frankrike, Tunisien
Daladic Iran
Dalcinex Indien
Damclid Indien
Damicin Colombia, Mexiko
Damicine Colombia
Dolarclin Colombia
Euroclin Colombia, Ecuador
Gynasafe Indien
Indamid Mexiko
Klimicin Polen
Klindan Turkiet
Klindaver Turkiet
Lanacine Österrike
Lincocin Malaysia
Lincosa Malaysia
Meneklin Turkiet
Sobelin Tyskland
Tidact Malaysia
Lösningars stabilitet   injektion   Lösningars stabilitet : Clindamycin phosphate     
Behållare Lösningsmedel Koncentration Temperatur Förvaring Stabilitets varaktighet Hänvisningar
Glas Vatten för injektion 15 mg/ml 22°C Skyddas från ljus
91 Dag
80
Evidensnivå C

Glas Vatten för injektion 15 mg/ml 4°C Skyddas från ljus
91 Dag
80
Evidensnivå C

Glas Natriumklorid 0,9 % 6 , 9 & 12 mg/ml -10°C Skyddas från ljus
56 Dag
566

Glas Natriumklorid 0,9 % 6 , 9 & 12 mg/ml 25°C Ej angiven
16 Dag
566

Glas Natriumklorid 0,9 % 6 , 9 & 12 mg/ml 4°C Skyddas från ljus
32 Dag
566

Glas Natriumklorid 0,9 % 9 mg/ml 24°C Ljus
24 Timma
421
Joker

Glas Natriumklorid 0,9 % 9 mg/ml 25°C Ljus
48 Timma
418
Evidensnivå D

Glas Natriumklorid 0,9 % 9 mg/ml 25°C Ej angiven
48 Timma
565
Evidensnivå D

Glas Natriumklorid 0,9 % 9 & 12 mg/ml 25°C Ljus
48 Timma
432
Evidensnivå D

Glas Glukos 5 % 6 , 9 & 12 mg/ml -10°C Skyddas från ljus
56 Dag
566

Glas Glukos 5 % 6 , 9 & 12 mg/ml 25°C Ej angiven
16 Dag
566

Glas Glukos 5 % 6 , 9 & 12 mg/ml 4°C Skyddas från ljus
32 Dag
566

Glas Glukos 5 % 9 mg/ml 24°C Ljus
24 Timma
421
Joker

Glas Glukos 5 % 9 mg/ml 25°C Ljus
48 Timma
418
Evidensnivå D

Glas Glukos 5 % 9 mg/ml 25°C Ej angiven
48 Timma
565
Evidensnivå D

Glas Glukos 5 % 9 & 12 mg/ml 25°C Ljus
48 Timma
432
Evidensnivå D

Polyvinylklorid Natriumklorid 0,9 % 6 , 9 & 12 mg/ml -10°C Skyddas från ljus
56 Dag
566

Polyvinylklorid Natriumklorid 0,9 % 6 , 9 & 12 mg/ml 25°C Ej angiven
16 Dag
566

Polyvinylklorid Natriumklorid 0,9 % 6 , 9 & 12 mg/ml 4°C Skyddas från ljus
32 Dag
566

Polyvinylklorid Natriumklorid 0,9 % 6 & 12 mg/ml -10°C Skyddas från ljus
68 Dag
567
Evidensnivå A

Polyvinylklorid Natriumklorid 0,9 % 6 & 12 mg/ml 25°C Ej angiven
22 Dag
567
Evidensnivå A

Polyvinylklorid Natriumklorid 0,9 % 6 & 12 mg/ml 5°C Skyddas från ljus
54 Dag
567
Evidensnivå A

Polyvinylklorid Natriumklorid 0,9 % 9 mg/ml -20°C Skyddas från ljus
28 Dag
565
Evidensnivå D

Polyvinylklorid Natriumklorid 0,9 % 9 mg/ml 24°C Ljus
24 Timma
421
Joker

Polyvinylklorid Glukos 5 % 6 mg/ml -20°C Skyddas från ljus
30 Dag
575
Biologisk analys

Polyvinylklorid Glukos 5 % 6 , 9 & 12 mg/ml -10°C Skyddas från ljus
56 Dag
566

Polyvinylklorid Glukos 5 % 6 , 9 & 12 mg/ml 25°C Ej angiven
16 Dag
566

Polyvinylklorid Glukos 5 % 6 , 9 & 12 mg/ml 4°C Skyddas från ljus
32 Dag
566

Polyvinylklorid Glukos 5 % 6 & 12 mg/ml -10°C Skyddas från ljus
68 Dag
567
Evidensnivå A

Polyvinylklorid Glukos 5 % 6 & 12 mg/ml 25°C Ej angiven
22 Dag
567
Evidensnivå A

Polyvinylklorid Glukos 5 % 6 & 12 mg/ml 5°C Skyddas från ljus
54 Dag
567
Evidensnivå A

Polyvinylklorid Glukos 5 % 9 mg/ml -20°C Skyddas från ljus
28 Dag
565
Evidensnivå D

Polyvinylklorid Glukos 5 % 9 mg/ml 24°C Ljus
24 Timma
421
Joker

Polyetylen Natriumklorid 0,9 % 3 mg/ml 22°C Skyddas från ljus
24 Timma
1067
Evidensnivå C

Polyetylen Natriumklorid 0,9 % 3 mg/ml 4°C Skyddas från ljus
24 Timma
1067
Evidensnivå C

Polyetylen Glukos 5 % 3 mg/ml 22°C Skyddas från ljus
24 Timma
1067
Evidensnivå C

Polyetylen Glukos 5 % 3 mg/ml 4°C Skyddas från ljus
24 Timma
1067
Evidensnivå C

Etylenvinylacetat Natriumklorid 0,9 % 6 & 12 mg/ml 23°C Skyddas från ljus
7 Dag
1815
Evidensnivå A+

Etylenvinylacetat Natriumklorid 0,9 % 6 & 12 mg/ml 4°C Skyddas från ljus
30 Dag
1815
Evidensnivå A+

Spruta polypropen Natriumklorid 0,9 % 150 mg/ml 22°C-23°C Ljus
48 Timma
639
Evidensnivå D

Spruta polypropen Natriumklorid 0,9 % 60 mg/ml 25°C Ljus
48 Timma
644
Evidensnivå B

Polyisopren elastomer Natriumklorid 0,9 % 2 & 12 mg/ml 25°C Ej angiven
24 Timma
604
Tillverkarens stabilitetsuppgifter

Polyisopren elastomer Natriumklorid 0,9 % 2 & 12 mg/ml 4°C Skyddas från ljus
10 Dag
604
Tillverkarens stabilitetsuppgifter

Ej angiven Natriumklorid 0,9 % 9,5 mg/ml 2-8°C Ej angiven
49 Dag
4622
Evidensnivå A+

Ej angiven Natriumklorid 0,9 % 9,5 mg/ml 25°C Ej angiven
24 Timma
4622
Evidensnivå A+

Ej angiven Glukos 5 % 9,5 mg/ml 2-8°C Ej angiven
47 Dag
4619
Evidensnivå A+

Ej angiven Glukos 5 % 9,5 mg/ml 25°C Ej angiven
24 Timma
4619
Evidensnivå A+


  Mentions Légales