Ultimo aggiornamento :
18/03/2026
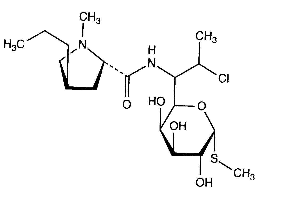
Antibiotico   Clindamycin phosphate  
Iniezione
Stabilità in soluzione Stabilità in miscela Fattori che influenzano la stabilità Compatibilità metodo di iniezione Bibliografia pdf
   Struttura chimica  

Nome commerciale   Nome commerciale     

Trade names are indicative and excipients composition can be different depending on the country and manufacturers

Biodaclin Messico
Camyda India
Cinbiot Messico
Cleocin Austria, Stati Uniti d’America, Turchia
Clinamsa Messico
Clinbac Colombia, Perù
Clincina Portogallo
Clinda-Saar Germania
Clindacid Venezuela
Clindacin Malaysia
Clindalaf Argentina
Clindamicina Argentina, Brasile, Chile, Colombia, Ecuador, Italia, Messico, Perù, Portogallo, Spagna, Venezuela
Clindamycin Arabia Saudita, Austria, Canada, Germania, Iran, Norvegia, Romania, Stati Uniti d’America, Svezia
Clindamycin-Hameln Germania
Clindamycine Belgio, Francia, Paesi Bassi, Tunisia
Clindanovag Argentina
Clindarix Brasile
Clindasol Germania
Clindaval Venezuela
Clindazyn Messico
Clindo Polonia
Clysvic Messico
Daclin Chile
Dalacin Arabia Saudita, Australia, Belgio, Canada, Chile, Colombia, Danimarca, Ecuador, Egitto, Emirati Arabi Uniti, Finlandia, Gran Bretagna, Grecia, India, Iran, Irlanda, Islanda, Italia, Lussemburgo, Malaysia, Messico, Norvegia, nuova Zelanda, Paesi Bassi, Polonia, Svezia, Svizzera, Tunisia, Ungheria, Venezuela
Dalacine Francia, Tunisia
Daladic Iran
Dalcinex India
Damclid India
Damicin Colombia, Messico
Damicine Colombia
Dolarclin Colombia
Euroclin Colombia, Ecuador
Gynasafe India
Indamid Messico
Klimicin Polonia
Klindan Turchia
Klindaver Turchia
Lanacine Austria
Lincocin Malaysia
Lincosa Malaysia
Meneklin Turchia
Sobelin Germania
Tidact Malaysia
Stabilità in soluzione   Iniezione   Stabilità in soluzione : Clindamycin phosphate     
contenitore Solvente Concentrazione Temperatura Conservazione Durata della stabilità Bibliografia
Vetro Acqua per preparato iniettabile 15 mg/ml 22°C Al riparo dalla luce
91 Giorno
80
Livello di evidenza C

Vetro Acqua per preparato iniettabile 15 mg/ml 4°C Al riparo dalla luce
91 Giorno
80
Livello di evidenza C

Vetro Cloruro di sodio 0,9% 6 , 9 & 12 mg/ml -10°C Al riparo dalla luce
56 Giorno
566

Vetro Cloruro di sodio 0,9% 6 , 9 & 12 mg/ml 25°C Non precisata
16 Giorno
566

Vetro Cloruro di sodio 0,9% 6 , 9 & 12 mg/ml 4°C Al riparo dalla luce
32 Giorno
566

Vetro Cloruro di sodio 0,9% 9 mg/ml 24°C Luce
24 Ora
421
Joker

Vetro Cloruro di sodio 0,9% 9 mg/ml 25°C Luce
48 Ora
418
Livello di evidenza D

Vetro Cloruro di sodio 0,9% 9 mg/ml 25°C Non precisata
48 Ora
565
Livello di evidenza D

Vetro Cloruro di sodio 0,9% 9 & 12 mg/ml 25°C Luce
48 Ora
432
Livello di evidenza D

Vetro Glucosio 5% 6 , 9 & 12 mg/ml -10°C Al riparo dalla luce
56 Giorno
566

Vetro Glucosio 5% 6 , 9 & 12 mg/ml 25°C Non precisata
16 Giorno
566

Vetro Glucosio 5% 6 , 9 & 12 mg/ml 4°C Al riparo dalla luce
32 Giorno
566

Vetro Glucosio 5% 9 mg/ml 24°C Luce
24 Ora
421
Joker

Vetro Glucosio 5% 9 mg/ml 25°C Luce
48 Ora
418
Livello di evidenza D

Vetro Glucosio 5% 9 mg/ml 25°C Non precisata
48 Ora
565
Livello di evidenza D

Vetro Glucosio 5% 9 & 12 mg/ml 25°C Luce
48 Ora
432
Livello di evidenza D

Cloruro di polivinile Cloruro di sodio 0,9% 6 , 9 & 12 mg/ml -10°C Al riparo dalla luce
56 Giorno
566

Cloruro di polivinile Cloruro di sodio 0,9% 6 , 9 & 12 mg/ml 25°C Non precisata
16 Giorno
566

Cloruro di polivinile Cloruro di sodio 0,9% 6 , 9 & 12 mg/ml 4°C Al riparo dalla luce
32 Giorno
566

Cloruro di polivinile Cloruro di sodio 0,9% 6 & 12 mg/ml -10°C Al riparo dalla luce
68 Giorno
567
Livello di evidenza A

Cloruro di polivinile Cloruro di sodio 0,9% 6 & 12 mg/ml 25°C Non precisata
22 Giorno
567
Livello di evidenza A

Cloruro di polivinile Cloruro di sodio 0,9% 6 & 12 mg/ml 5°C Al riparo dalla luce
54 Giorno
567
Livello di evidenza A

Cloruro di polivinile Cloruro di sodio 0,9% 9 mg/ml -20°C Al riparo dalla luce
28 Giorno
565
Livello di evidenza D

Cloruro di polivinile Cloruro di sodio 0,9% 9 mg/ml 24°C Luce
24 Ora
421
Joker

Cloruro di polivinile Glucosio 5% 6 mg/ml -20°C Al riparo dalla luce
30 Giorno
575
Analisi biologica

Cloruro di polivinile Glucosio 5% 6 , 9 & 12 mg/ml -10°C Al riparo dalla luce
56 Giorno
566

Cloruro di polivinile Glucosio 5% 6 , 9 & 12 mg/ml 25°C Non precisata
16 Giorno
566

Cloruro di polivinile Glucosio 5% 6 , 9 & 12 mg/ml 4°C Al riparo dalla luce
32 Giorno
566

Cloruro di polivinile Glucosio 5% 6 & 12 mg/ml -10°C Al riparo dalla luce
68 Giorno
567
Livello di evidenza A

Cloruro di polivinile Glucosio 5% 6 & 12 mg/ml 25°C Non precisata
22 Giorno
567
Livello di evidenza A

Cloruro di polivinile Glucosio 5% 6 & 12 mg/ml 5°C Al riparo dalla luce
54 Giorno
567
Livello di evidenza A

Cloruro di polivinile Glucosio 5% 9 mg/ml -20°C Al riparo dalla luce
28 Giorno
565
Livello di evidenza D

Cloruro di polivinile Glucosio 5% 9 mg/ml 24°C Luce
24 Ora
421
Joker

Polietilene Cloruro di sodio 0,9% 3 mg/ml 22°C Al riparo dalla luce
24 Ora
1067
Livello di evidenza C

Polietilene Cloruro di sodio 0,9% 3 mg/ml 4°C Al riparo dalla luce
24 Ora
1067
Livello di evidenza C

Polietilene Glucosio 5% 3 mg/ml 22°C Al riparo dalla luce
24 Ora
1067
Livello di evidenza C

Polietilene Glucosio 5% 3 mg/ml 4°C Al riparo dalla luce
24 Ora
1067
Livello di evidenza C

Etilene vinilacetato Cloruro di sodio 0,9% 6 & 12 mg/ml 23°C Al riparo dalla luce
7 Giorno
1815
Livello di evidenza A+

Etilene vinilacetato Cloruro di sodio 0,9% 6 & 12 mg/ml 4°C Al riparo dalla luce
30 Giorno
1815
Livello di evidenza A+

siringa polipropilene Cloruro di sodio 0,9% 150 mg/ml 22°C-23°C Luce
48 Ora
639
Livello di evidenza D

siringa polipropilene Cloruro di sodio 0,9% 60 mg/ml 25°C Luce
48 Ora
644
Livello di evidenza B

Elastomero poliisoprenico Cloruro di sodio 0,9% 2 & 12 mg/ml 25°C Non precisata
24 Ora
604
Dati di stabilità del produttore

Elastomero poliisoprenico Cloruro di sodio 0,9% 2 & 12 mg/ml 4°C Al riparo dalla luce
10 Giorno
604
Dati di stabilità del produttore

Non precisato Cloruro di sodio 0,9% 9,5 mg/ml 2-8°C Non precisata
49 Giorno
4622
Livello di evidenza A+

Non precisato Cloruro di sodio 0,9% 9,5 mg/ml 25°C Non precisata
24 Ora
4622
Livello di evidenza A+

Non precisato Glucosio 5% 9,5 mg/ml 2-8°C Non precisata
47 Giorno
4619
Livello di evidenza A+

Non precisato Glucosio 5% 9,5 mg/ml 25°C Non precisata
24 Ora
4619
Livello di evidenza A+


  Mentions Légales