Zadnji put ažurirano :
18/03/2026
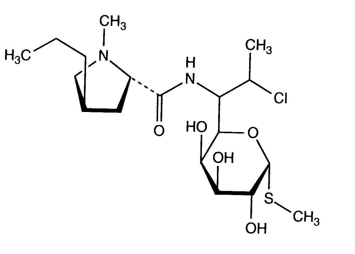
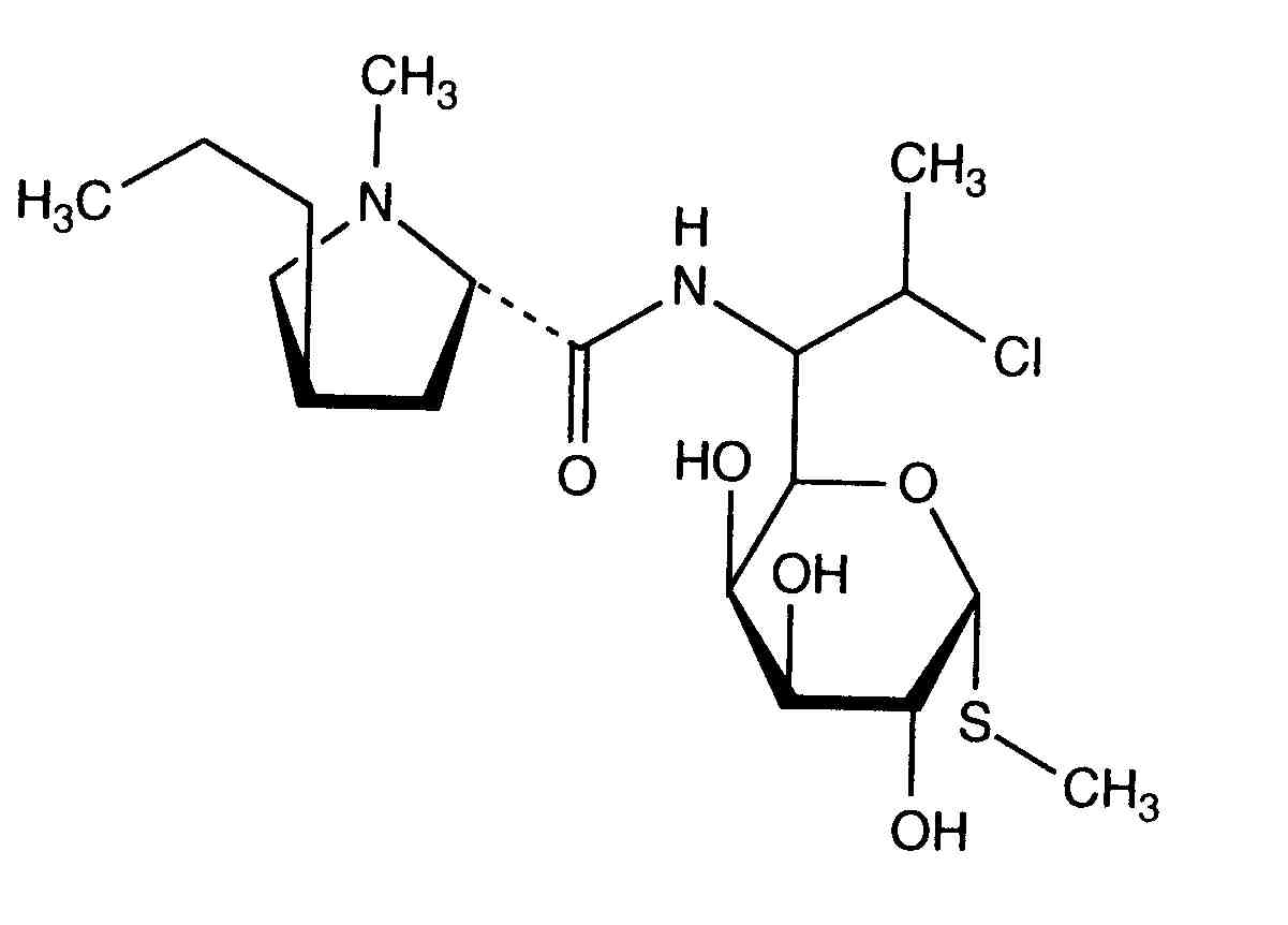
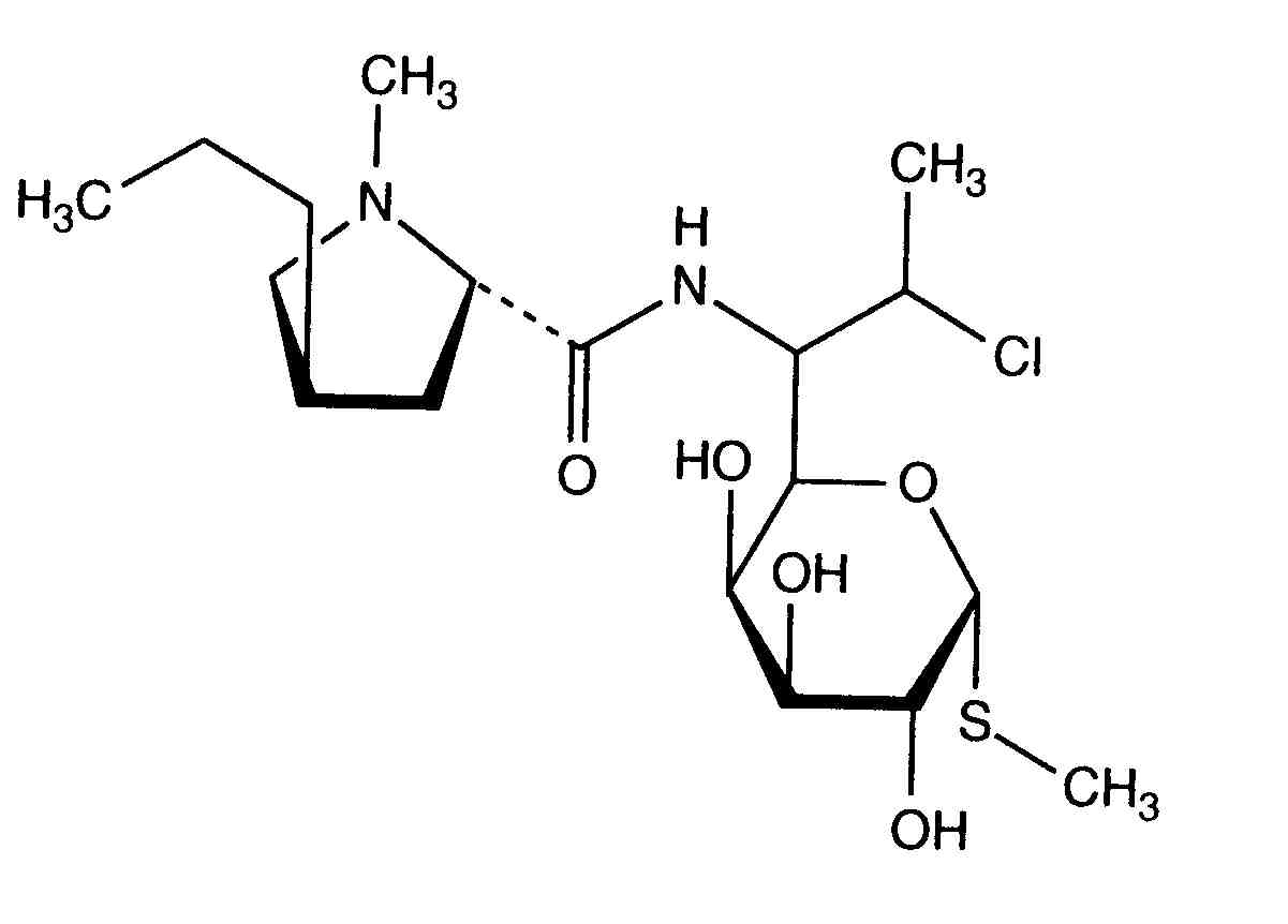
antibiotik   Clindamycin phosphate  
injekcija
Stabilizacija rješenja Stabilnost mješavine Stabilizacijski faktor Kompatibilnosti način davanja lijeka Bibliografija pdf
   Kemijska struktura  

Nekomercijalni   Nekomercijalni     

Zaštićeni nazivi su indikativni i sastav ekscipijensa može biti različit ovisno o državi i laboratorijima

Biodaclin Meksiko
Camyda Indija
Cinbiot Meksiko
Cleocin Austrija, S A D, Turska
Clinamsa Meksiko
Clinbac Kolumbija, Peru
Clincina Portugal
Clinda-Saar Njemačka
Clindacid Venecuela
Clindacin Malezija
Clindalaf Argentina
Clindamicina Argentina, Brazil, Čile, Ekvador, Italija, Kolumbija, Meksiko, Peru, Portugal, Španjolska, Venecuela
Clindamycin Austrija, Iran, Kanada, Njemačka, Norveška, Rumunjska, S A D, Saudijska Arabija, Švedska
Clindamycin-Hameln Njemačka
Clindamycine Belgija, Francuska, Nizozemska, Tunis
Clindanovag Argentina
Clindarix Brazil
Clindasol Njemačka
Clindaval Venecuela
Clindazyn Meksiko
Clindo Poljska
Clysvic Meksiko
Daclin Čile
Dalacin Indija, Australija, Belgija, Čile, Danska, Egipat, Ekvador, Finska, Grčka, Iran, Irska, Island, Italija, Kanada, Kolumbija, Luksemburg, Madžarska, Malezija, Meksiko, Nizozemska, Norveška, novi Zeland, Poljska, Saudijska Arabija, Švedska, Švicarska, Tunis, Ujedinjeni Arapski Emirati, Velika Britanija, Venecuela
Dalacine Francuska, Tunis
Daladic Iran
Dalcinex Indija
Damclid Indija
Damicin Kolumbija, Meksiko
Damicine Kolumbija
Dolarclin Kolumbija
Euroclin Ekvador, Kolumbija
Gynasafe Indija
Indamid Meksiko
Klimicin Poljska
Klindan Turska
Klindaver Turska
Lanacine Austrija
Lincocin Malezija
Lincosa Malezija
Meneklin Turska
Sobelin Njemačka
Tidact Malezija
Stabilizacija rješenja   injekcija   Stabilizacija rješenja : Clindamycin phosphate     
Kontejner sredstvo za rastapanje koncentracija temperatura Konzerviranje Trajanje stabilnosti Bibliografija
čaša čista voda za injektiranje 15 mg/ml 22°C Zaštićeno od svjetlosti
91 dan
80
Razina dokaza C

čaša čista voda za injektiranje 15 mg/ml 4°C Zaštićeno od svjetlosti
91 dan
80
Razina dokaza C

čaša natrijumkorid 0,9% 6 , 9 & 12 mg/ml -10°C Zaštićeno od svjetlosti
56 dan
566

čaša natrijumkorid 0,9% 6 , 9 & 12 mg/ml 25°C nespecifičan
16 dan
566

čaša natrijumkorid 0,9% 6 , 9 & 12 mg/ml 4°C Zaštićeno od svjetlosti
32 dan
566

čaša natrijumkorid 0,9% 9 mg/ml 24°C svjetlost
24 sat
421
OZNAKA

čaša natrijumkorid 0,9% 9 mg/ml 25°C svjetlost
48 sat
418
Razina dokaza D

čaša natrijumkorid 0,9% 9 mg/ml 25°C nespecifičan
48 sat
565
Razina dokaza D

čaša natrijumkorid 0,9% 9 & 12 mg/ml 25°C svjetlost
48 sat
432
Razina dokaza D

čaša glukoza 5% 6 , 9 & 12 mg/ml -10°C Zaštićeno od svjetlosti
56 dan
566

čaša glukoza 5% 6 , 9 & 12 mg/ml 25°C nespecifičan
16 dan
566

čaša glukoza 5% 6 , 9 & 12 mg/ml 4°C Zaštićeno od svjetlosti
32 dan
566

čaša glukoza 5% 9 mg/ml 24°C svjetlost
24 sat
421
OZNAKA

čaša glukoza 5% 9 mg/ml 25°C svjetlost
48 sat
418
Razina dokaza D

čaša glukoza 5% 9 mg/ml 25°C nespecifičan
48 sat
565
Razina dokaza D

čaša glukoza 5% 9 & 12 mg/ml 25°C svjetlost
48 sat
432
Razina dokaza D

polivinilklorid natrijumkorid 0,9% 6 , 9 & 12 mg/ml -10°C Zaštićeno od svjetlosti
56 dan
566

polivinilklorid natrijumkorid 0,9% 6 , 9 & 12 mg/ml 25°C nespecifičan
16 dan
566

polivinilklorid natrijumkorid 0,9% 6 , 9 & 12 mg/ml 4°C Zaštićeno od svjetlosti
32 dan
566

polivinilklorid natrijumkorid 0,9% 6 & 12 mg/ml -10°C Zaštićeno od svjetlosti
68 dan
567
Razina dokaza A

polivinilklorid natrijumkorid 0,9% 6 & 12 mg/ml 25°C nespecifičan
22 dan
567
Razina dokaza A

polivinilklorid natrijumkorid 0,9% 6 & 12 mg/ml 5°C Zaštićeno od svjetlosti
54 dan
567
Razina dokaza A

polivinilklorid natrijumkorid 0,9% 9 mg/ml -20°C Zaštićeno od svjetlosti
28 dan
565
Razina dokaza D

polivinilklorid natrijumkorid 0,9% 9 mg/ml 24°C svjetlost
24 sat
421
OZNAKA

polivinilklorid glukoza 5% 6 mg/ml -20°C Zaštićeno od svjetlosti
30 dan
575
Biološka metoda

polivinilklorid glukoza 5% 6 , 9 & 12 mg/ml -10°C Zaštićeno od svjetlosti
56 dan
566

polivinilklorid glukoza 5% 6 , 9 & 12 mg/ml 25°C nespecifičan
16 dan
566

polivinilklorid glukoza 5% 6 , 9 & 12 mg/ml 4°C Zaštićeno od svjetlosti
32 dan
566

polivinilklorid glukoza 5% 6 & 12 mg/ml -10°C Zaštićeno od svjetlosti
68 dan
567
Razina dokaza A

polivinilklorid glukoza 5% 6 & 12 mg/ml 25°C nespecifičan
22 dan
567
Razina dokaza A

polivinilklorid glukoza 5% 6 & 12 mg/ml 5°C Zaštićeno od svjetlosti
54 dan
567
Razina dokaza A

polivinilklorid glukoza 5% 9 mg/ml -20°C Zaštićeno od svjetlosti
28 dan
565
Razina dokaza D

polivinilklorid glukoza 5% 9 mg/ml 24°C svjetlost
24 sat
421
OZNAKA

polietilen natrijumkorid 0,9% 3 mg/ml 22°C Zaštićeno od svjetlosti
24 sat
1067
Razina dokaza C

polietilen natrijumkorid 0,9% 3 mg/ml 4°C Zaštićeno od svjetlosti
24 sat
1067
Razina dokaza C

polietilen glukoza 5% 3 mg/ml 22°C Zaštićeno od svjetlosti
24 sat
1067
Razina dokaza C

polietilen glukoza 5% 3 mg/ml 4°C Zaštićeno od svjetlosti
24 sat
1067
Razina dokaza C

etilvinilacetat natrijumkorid 0,9% 6 & 12 mg/ml 23°C Zaštićeno od svjetlosti
7 dan
1815
Razina dokaza A+

etilvinilacetat natrijumkorid 0,9% 6 & 12 mg/ml 4°C Zaštićeno od svjetlosti
30 dan
1815
Razina dokaza A+

špric polipropilen natrijumkorid 0,9% 150 mg/ml 22°C-23°C svjetlost
48 sat
639
Razina dokaza D

špric polipropilen natrijumkorid 0,9% 60 mg/ml 25°C svjetlost
48 sat
644
Razina dokaza B

Poliizoprenski elastomer natrijumkorid 0,9% 2 & 12 mg/ml 25°C nespecifičan
24 sat
604
Podaci proizvođača o stabilnosti

Poliizoprenski elastomer natrijumkorid 0,9% 2 & 12 mg/ml 4°C Zaštićeno od svjetlosti
10 dan
604
Podaci proizvođača o stabilnosti

nespecifičan natrijumkorid 0,9% 9,5 mg/ml 2-8°C nespecifičan
49 dan
4622
Razina dokaza A+

nespecifičan natrijumkorid 0,9% 9,5 mg/ml 25°C nespecifičan
24 sat
4622
Razina dokaza A+

nespecifičan glukoza 5% 9,5 mg/ml 2-8°C nespecifičan
47 dan
4619
Razina dokaza A+

nespecifičan glukoza 5% 9,5 mg/ml 25°C nespecifičan
24 sat
4619
Razina dokaza A+


  Mentions Légales