Última actualización :
18/03/2026
Antibiótico   Clindamycin phosphate  
Inyectables
Estabilidad en solucion Estabilidad en mezcla Factores que influyen sobre la estabilidad Compatibilidades método de inyección Bibliografía pdf
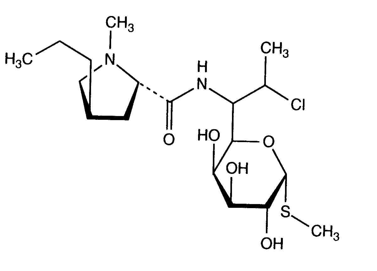
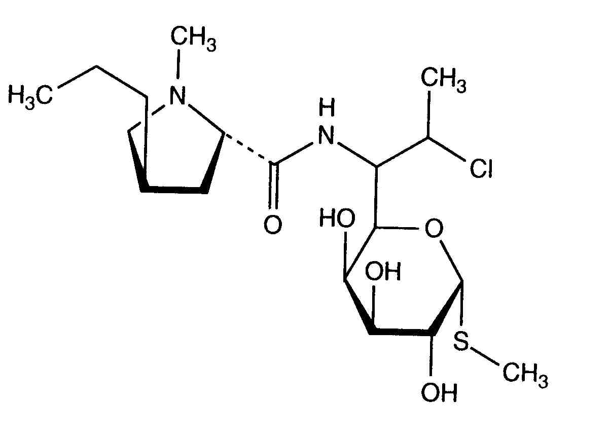
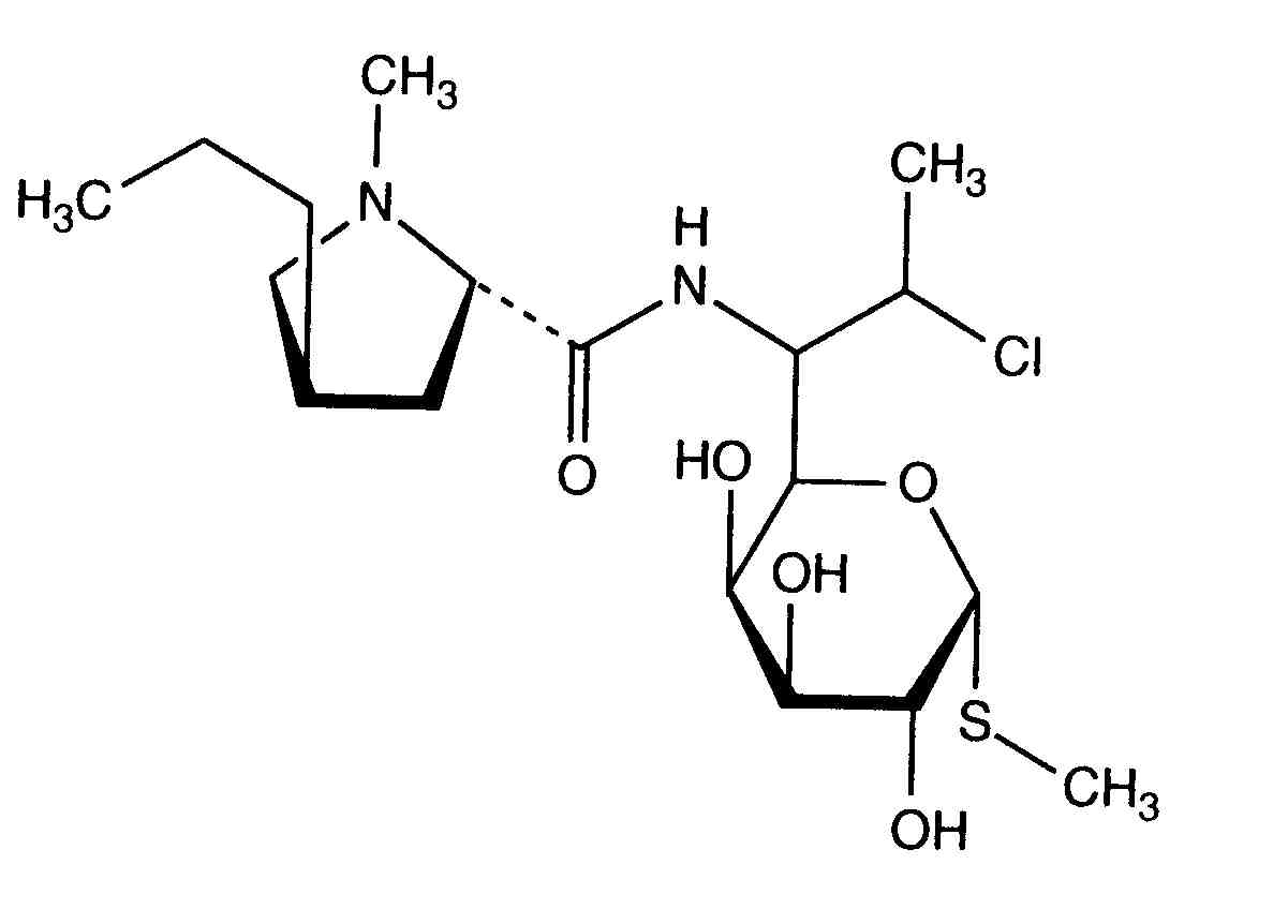
   Estructura química  

Nombre comercial   Nombre comercial     

Los nombres comerciales son orientativos y los excipientes de la formulación pueden ser distintos dependiendo del país y del laboratorio fabricante.

Biodaclin México
Camyda India
Cinbiot México
Cleocin Austria, Estados Unidos de América, Turquía
Clinamsa México
Clinbac Colombia, Marruecos
Clincina Portugal
Clinda-Saar Alemania
Clindacid Venezuela
Clindacin Malasia
Clindalaf Argentina
Clindamicina Argentina, Brasil, Chile, Colombia, Ecuador, España, Italia, Marruecos, México, Portugal, Venezuela
Clindamycin Alemania, Arabia Saudita, Austria, Canadá, Estados Unidos de América, Irán, Noruega, Rumania, Suecia
Clindamycin-Hameln Alemania
Clindamycine Bélgica, Francia, Países Bajos, Túnez
Clindanovag Argentina
Clindarix Brasil
Clindasol Alemania
Clindaval Venezuela
Clindazyn México
Clindo Polonia
Clysvic México
Daclin Chile
Dalacin Arabia Saudita, Australia, Bélgica, Canadá, Chile, Colombia, Dinamarca, Ecuador, Egipto, Emiratos Árabes Unidos, Finlandia, Gran Bretaña, Grecia, Hungría, India, Irán, Irlanda, Islandia, Italia, Luxemburgo, Malasia, México, Noruega, Nueva Zelanda, Países Bajos, Polonia, Suecia, Suiza, Túnez, Venezuela
Dalacine Francia, Túnez
Daladic Irán
Dalcinex India
Damclid India
Damicin Colombia, México
Damicine Colombia
Dolarclin Colombia
Euroclin Colombia, Ecuador
Gynasafe India
Indamid México
Klimicin Polonia
Klindan Turquía
Klindaver Turquía
Lanacine Austria
Lincocin Malasia
Lincosa Malasia
Meneklin Turquía
Sobelin Alemania
Tidact Malasia
Estabilidad en solucion   Inyectables   Estabilidad en solucion : Clindamycin phosphate     
Envase Solvente Concentración Temperatura Conservación Duración de la estabilidad Bibliografía
Vidrio Agua para preparación inyectable 15 mg/ml 22°C A cubierto de la luz
91 Día
80
Nivel de evidencia C

Vidrio Agua para preparación inyectable 15 mg/ml 4°C A cubierto de la luz
91 Día
80
Nivel de evidencia C

Vidrio Cloruro de sodio 0,9% 6 , 9 & 12 mg/ml -10°C A cubierto de la luz
56 Día
566

Vidrio Cloruro de sodio 0,9% 6 , 9 & 12 mg/ml 25°C No precisada
16 Día
566

Vidrio Cloruro de sodio 0,9% 6 , 9 & 12 mg/ml 4°C A cubierto de la luz
32 Día
566

Vidrio Cloruro de sodio 0,9% 9 mg/ml 24°C Luz
24 Hora
421
Joker

Vidrio Cloruro de sodio 0,9% 9 mg/ml 25°C Luz
48 Hora
418
Nivel de evidencia D

Vidrio Cloruro de sodio 0,9% 9 mg/ml 25°C No precisada
48 Hora
565
Nivel de evidencia D

Vidrio Cloruro de sodio 0,9% 9 & 12 mg/ml 25°C Luz
48 Hora
432
Nivel de evidencia D

Vidrio Glucosa 5% 6 , 9 & 12 mg/ml -10°C A cubierto de la luz
56 Día
566

Vidrio Glucosa 5% 6 , 9 & 12 mg/ml 25°C No precisada
16 Día
566

Vidrio Glucosa 5% 6 , 9 & 12 mg/ml 4°C A cubierto de la luz
32 Día
566

Vidrio Glucosa 5% 9 mg/ml 24°C Luz
24 Hora
421
Joker

Vidrio Glucosa 5% 9 mg/ml 25°C Luz
48 Hora
418
Nivel de evidencia D

Vidrio Glucosa 5% 9 mg/ml 25°C No precisada
48 Hora
565
Nivel de evidencia D

Vidrio Glucosa 5% 9 & 12 mg/ml 25°C Luz
48 Hora
432
Nivel de evidencia D

Cloruro de polivinilo Cloruro de sodio 0,9% 6 , 9 & 12 mg/ml -10°C A cubierto de la luz
56 Día
566

Cloruro de polivinilo Cloruro de sodio 0,9% 6 , 9 & 12 mg/ml 25°C No precisada
16 Día
566

Cloruro de polivinilo Cloruro de sodio 0,9% 6 , 9 & 12 mg/ml 4°C A cubierto de la luz
32 Día
566

Cloruro de polivinilo Cloruro de sodio 0,9% 6 & 12 mg/ml -10°C A cubierto de la luz
68 Día
567
Nivel de evidencia A

Cloruro de polivinilo Cloruro de sodio 0,9% 6 & 12 mg/ml 25°C No precisada
22 Día
567
Nivel de evidencia A

Cloruro de polivinilo Cloruro de sodio 0,9% 6 & 12 mg/ml 5°C A cubierto de la luz
54 Día
567
Nivel de evidencia A

Cloruro de polivinilo Cloruro de sodio 0,9% 9 mg/ml -20°C A cubierto de la luz
28 Día
565
Nivel de evidencia D

Cloruro de polivinilo Cloruro de sodio 0,9% 9 mg/ml 24°C Luz
24 Hora
421
Joker

Cloruro de polivinilo Glucosa 5% 6 mg/ml -20°C A cubierto de la luz
30 Día
575
análisis biológico

Cloruro de polivinilo Glucosa 5% 6 , 9 & 12 mg/ml -10°C A cubierto de la luz
56 Día
566

Cloruro de polivinilo Glucosa 5% 6 , 9 & 12 mg/ml 25°C No precisada
16 Día
566

Cloruro de polivinilo Glucosa 5% 6 , 9 & 12 mg/ml 4°C A cubierto de la luz
32 Día
566

Cloruro de polivinilo Glucosa 5% 6 & 12 mg/ml -10°C A cubierto de la luz
68 Día
567
Nivel de evidencia A

Cloruro de polivinilo Glucosa 5% 6 & 12 mg/ml 25°C No precisada
22 Día
567
Nivel de evidencia A

Cloruro de polivinilo Glucosa 5% 6 & 12 mg/ml 5°C A cubierto de la luz
54 Día
567
Nivel de evidencia A

Cloruro de polivinilo Glucosa 5% 9 mg/ml -20°C A cubierto de la luz
28 Día
565
Nivel de evidencia D

Cloruro de polivinilo Glucosa 5% 9 mg/ml 24°C Luz
24 Hora
421
Joker

Polietileno Cloruro de sodio 0,9% 3 mg/ml 22°C A cubierto de la luz
24 Hora
1067
Nivel de evidencia C

Polietileno Cloruro de sodio 0,9% 3 mg/ml 4°C A cubierto de la luz
24 Hora
1067
Nivel de evidencia C

Polietileno Glucosa 5% 3 mg/ml 22°C A cubierto de la luz
24 Hora
1067
Nivel de evidencia C

Polietileno Glucosa 5% 3 mg/ml 4°C A cubierto de la luz
24 Hora
1067
Nivel de evidencia C

Etilén-vinil-acetato Cloruro de sodio 0,9% 6 & 12 mg/ml 23°C A cubierto de la luz
7 Día
1815
Nivel de evidencia A+

Etilén-vinil-acetato Cloruro de sodio 0,9% 6 & 12 mg/ml 4°C A cubierto de la luz
30 Día
1815
Nivel de evidencia A+

jeringa polipropileno Cloruro de sodio 0,9% 150 mg/ml 22°C-23°C Luz
48 Hora
639
Nivel de evidencia D

jeringa polipropileno Cloruro de sodio 0,9% 60 mg/ml 25°C Luz
48 Hora
644
Nivel de evidencia B

Elastómero de poliisopreno Cloruro de sodio 0,9% 2 & 12 mg/ml 25°C No precisada
24 Hora
604
Datos de estabilidad del fabricante

Elastómero de poliisopreno Cloruro de sodio 0,9% 2 & 12 mg/ml 4°C A cubierto de la luz
10 Día
604
Datos de estabilidad del fabricante

No precisado Cloruro de sodio 0,9% 9,5 mg/ml 2-8°C No precisada
49 Día
4622
Nivel de evidencia A+

No precisado Cloruro de sodio 0,9% 9,5 mg/ml 25°C No precisada
24 Hora
4622
Nivel de evidencia A+

No precisado Glucosa 5% 9,5 mg/ml 2-8°C No precisada
47 Día
4619
Nivel de evidencia A+

No precisado Glucosa 5% 9,5 mg/ml 25°C No precisada
24 Hora
4619
Nivel de evidencia A+


  Mentions Légales