最新更新 :
18/03/2026
抗菌薬   Clindamycin phosphate  
注射薬
溶媒内の安定性 混合時の安定性 安定性に影響する因子 互換性 投与経路 引用文献 PDF
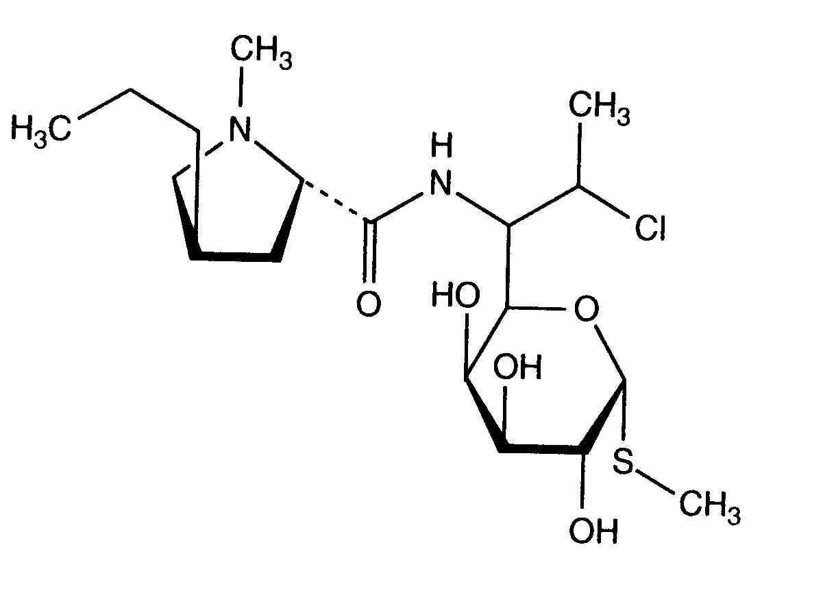
   化学構造  

商品名   商品名     

商品名、賦形剤は国、製薬会社ごとに異なることがあります

Biodaclin メキシコ
Camyda インド
Cinbiot メキシコ
Cleocin アメリカ, オーストリア, トルコ
Clinamsa メキシコ
Clinbac コロンビア, ペルー
Clincina ポルトガル
Clinda-Saar ドイツ
Clindacid ベネズエラ
Clindacin マレーシア
Clindalaf アルゼンチン
Clindamicina アルゼンチン, イタリア, エクアドル, コロンビア, スペイン, チリ, ブラジル, ベネズエラ, ペルー, ポルトガル, メキシコ
Clindamycin アメリカ, イラン, オーストリア, カナダ, サウジアラビア, スウェーデン, ドイツ, ノルウェー, ルーマニア
Clindamycin-Hameln ドイツ
Clindamycine オランダ, チュニジア, フランス, ベルギー
Clindanovag アルゼンチン
Clindarix ブラジル
Clindasol ドイツ
Clindaval ベネズエラ
Clindazyn メキシコ
Clindo ポーランド
Clysvic メキシコ
Daclin チリ
Dalacin アイスランド, アイルランド, アラブ首長国連邦, アーストラリア, イギリス, イタリア, イラン, インド, エクアドル, エジプト, オランダ, カナダ, ギリシア, コロンビア, サウジアラビア, スイス, スウェーデン, チュニジア, チリ, デンマーク, ニュージーランド, ノルウェー, ハンガリー, フィンランド, ベネズエラ, ベルギー, ポーランド, マレーシア, メキシコ, ルクセンブルグ
Dalacine チュニジア, フランス
Daladic イラン
Dalcinex インド
Damclid インド
Damicin コロンビア, メキシコ
Damicine コロンビア
Dolarclin コロンビア
Euroclin エクアドル, コロンビア
Gynasafe インド
Indamid メキシコ
Klimicin ポーランド
Klindan トルコ
Klindaver トルコ
Lanacine オーストリア
Lincocin マレーシア
Lincosa マレーシア
Meneklin トルコ
Sobelin ドイツ
Tidact マレーシア
溶媒内の安定性   注射薬   溶媒内の安定性 : Clindamycin phosphate     
容器 溶媒 濃度 温度 保管 安定期間 引用文献
ガラス 注射用水 15 mg/ml 22°C 遮光
91 日
80
エビデンスレベル C

ガラス 注射用水 15 mg/ml 4°C 遮光
91 日
80
エビデンスレベル C

ガラス NaCl 0,9% 6 , 9 & 12 mg/ml -10°C 遮光
56 日
566

ガラス NaCl 0,9% 6 , 9 & 12 mg/ml 25°C 特記なし
16 日
566

ガラス NaCl 0,9% 6 , 9 & 12 mg/ml 4°C 遮光
32 日
566

ガラス NaCl 0,9% 9 mg/ml 24°C 光
24 時間
421
Joker

ガラス NaCl 0,9% 9 mg/ml 25°C 光
48 時間
418
エビデンスレベル D

ガラス NaCl 0,9% 9 mg/ml 25°C 特記なし
48 時間
565
エビデンスレベル D

ガラス NaCl 0,9% 9 & 12 mg/ml 25°C 光
48 時間
432
エビデンスレベル D

ガラス グルコース5% 6 , 9 & 12 mg/ml -10°C 遮光
56 日
566

ガラス グルコース5% 6 , 9 & 12 mg/ml 25°C 特記なし
16 日
566

ガラス グルコース5% 6 , 9 & 12 mg/ml 4°C 遮光
32 日
566

ガラス グルコース5% 9 mg/ml 24°C 光
24 時間
421
Joker

ガラス グルコース5% 9 mg/ml 25°C 光
48 時間
418
エビデンスレベル D

ガラス グルコース5% 9 mg/ml 25°C 特記なし
48 時間
565
エビデンスレベル D

ガラス グルコース5% 9 & 12 mg/ml 25°C 光
48 時間
432
エビデンスレベル D

ポリ塩化ビニル(PVC) NaCl 0,9% 6 , 9 & 12 mg/ml -10°C 遮光
56 日
566

ポリ塩化ビニル(PVC) NaCl 0,9% 6 , 9 & 12 mg/ml 25°C 特記なし
16 日
566

ポリ塩化ビニル(PVC) NaCl 0,9% 6 , 9 & 12 mg/ml 4°C 遮光
32 日
566

ポリ塩化ビニル(PVC) NaCl 0,9% 6 & 12 mg/ml -10°C 遮光
68 日
567
エビデンスレベル A

ポリ塩化ビニル(PVC) NaCl 0,9% 6 & 12 mg/ml 25°C 特記なし
22 日
567
エビデンスレベル A

ポリ塩化ビニル(PVC) NaCl 0,9% 6 & 12 mg/ml 5°C 遮光
54 日
567
エビデンスレベル A

ポリ塩化ビニル(PVC) NaCl 0,9% 9 mg/ml -20°C 遮光
28 日
565
エビデンスレベル D

ポリ塩化ビニル(PVC) NaCl 0,9% 9 mg/ml 24°C 光
24 時間
421
Joker

ポリ塩化ビニル(PVC) グルコース5% 6 mg/ml -20°C 遮光
30 日
575
生物学的分析

ポリ塩化ビニル(PVC) グルコース5% 6 , 9 & 12 mg/ml -10°C 遮光
56 日
566

ポリ塩化ビニル(PVC) グルコース5% 6 , 9 & 12 mg/ml 25°C 特記なし
16 日
566

ポリ塩化ビニル(PVC) グルコース5% 6 , 9 & 12 mg/ml 4°C 遮光
32 日
566

ポリ塩化ビニル(PVC) グルコース5% 6 & 12 mg/ml -10°C 遮光
68 日
567
エビデンスレベル A

ポリ塩化ビニル(PVC) グルコース5% 6 & 12 mg/ml 25°C 特記なし
22 日
567
エビデンスレベル A

ポリ塩化ビニル(PVC) グルコース5% 6 & 12 mg/ml 5°C 遮光
54 日
567
エビデンスレベル A

ポリ塩化ビニル(PVC) グルコース5% 9 mg/ml -20°C 遮光
28 日
565
エビデンスレベル D

ポリ塩化ビニル(PVC) グルコース5% 9 mg/ml 24°C 光
24 時間
421
Joker

ポリエチレン NaCl 0,9% 3 mg/ml 22°C 遮光
24 時間
1067
エビデンスレベル C

ポリエチレン NaCl 0,9% 3 mg/ml 4°C 遮光
24 時間
1067
エビデンスレベル C

ポリエチレン グルコース5% 3 mg/ml 22°C 遮光
24 時間
1067
エビデンスレベル C

ポリエチレン グルコース5% 3 mg/ml 4°C 遮光
24 時間
1067
エビデンスレベル C

エチレン酢酸ビニル NaCl 0,9% 6 & 12 mg/ml 23°C 遮光
7 日
1815
エビデンスレベル A+

エチレン酢酸ビニル NaCl 0,9% 6 & 12 mg/ml 4°C 遮光
30 日
1815
エビデンスレベル A+

シリンジ ポリプロピレン NaCl 0,9% 150 mg/ml 22°C-23°C 光
48 時間
639
エビデンスレベル D

シリンジ ポリプロピレン NaCl 0,9% 60 mg/ml 25°C 光
48 時間
644
エビデンスレベル B

ポリイソプレンエラストマー NaCl 0,9% 2 & 12 mg/ml 25°C 特記なし
24 時間
604
製薬会社の安定性データ

ポリイソプレンエラストマー NaCl 0,9% 2 & 12 mg/ml 4°C 遮光
10 日
604
製薬会社の安定性データ

指定なし NaCl 0,9% 9,5 mg/ml 2-8°C 特記なし
49 日
4622
エビデンスレベル A+

指定なし NaCl 0,9% 9,5 mg/ml 25°C 特記なし
24 時間
4622
エビデンスレベル A+

指定なし グルコース5% 9,5 mg/ml 2-8°C 特記なし
47 日
4619
エビデンスレベル A+

指定なし グルコース5% 9,5 mg/ml 25°C 特記なし
24 時間
4619
エビデンスレベル A+


  Mentions Légales