Siste oppdatering :
17/12/2025
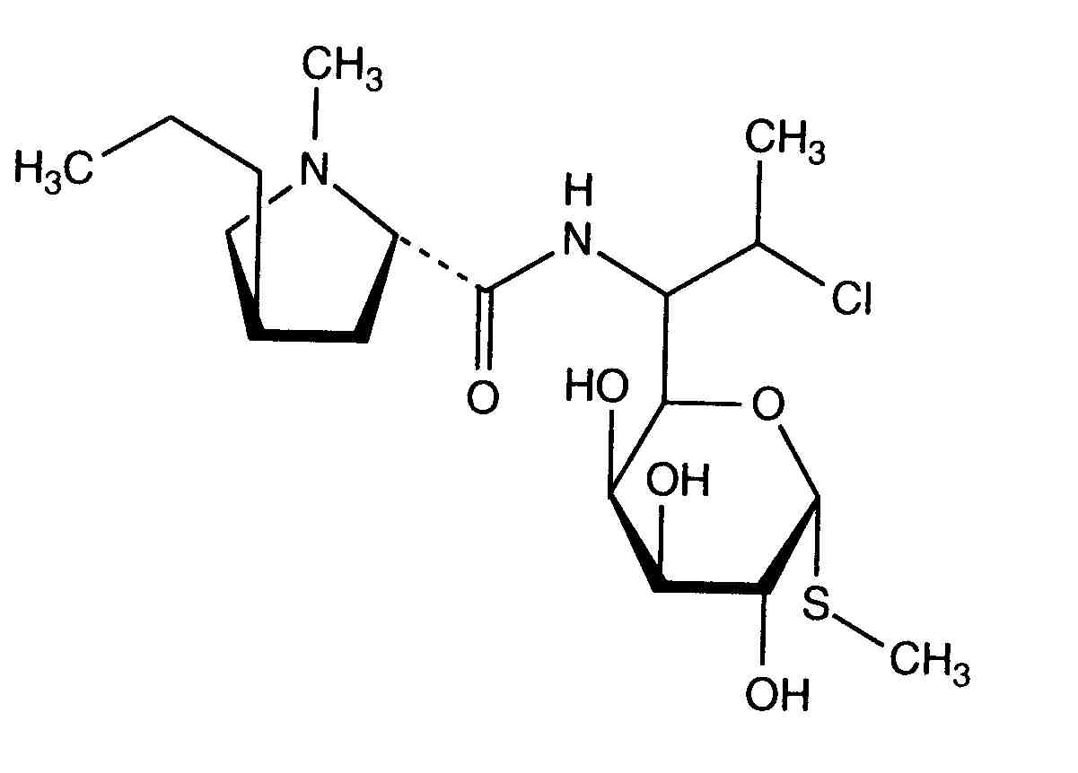
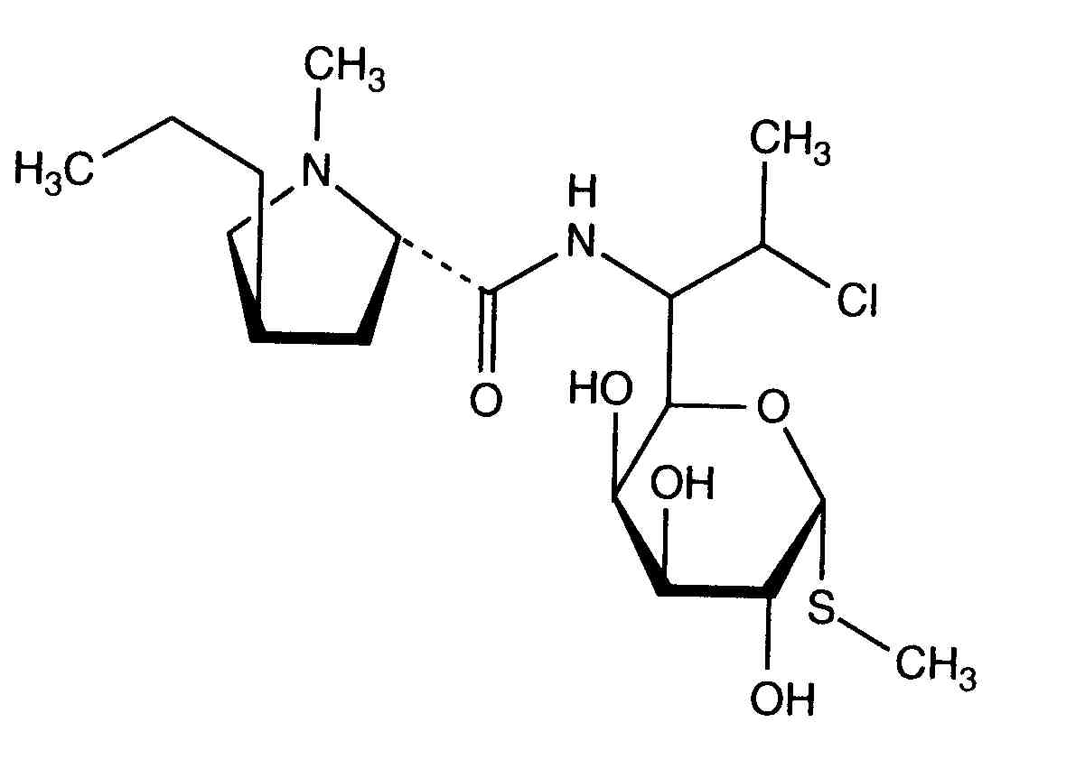
Antibiotika   Clindamycin phosphate  
Injeksjon
Oppløsningsstabilitet Stabilitet i blandinger Faktorer som påvirker stabiliteten Kompatibilitet Administrasjonsmåte Referanser pdf
   Kjemisk struktur  

Handelsnavn   Handelsnavn     

Handelsnavn er veiledende og sammensetning av hjelpestoffer kan være forskjellig avhengig av land og produsent

Biodaclin Mexico
Camyda India
Cinbiot Mexico
Cleocin Tyrkia, USA, Østerrike
Clinamsa Mexico
Clinbac Colombia, Peru
Clincina Portugal
Clinda-Saar Tyskland
Clindacid Venezuela
Clindacin Malaysia
Clindalaf Argentina
Clindamicina Argentina, Brasil, Chile, Colombia, Ecuador, Italia, Mexico, Peru, Portugal, Spania, Venezuela
Clindamycin Canada, Iran, Norge, Romania, Saudi-Arabia, Sverige, Tyskland, USA, Østerrike
Clindamycin-Hameln Tyskland
Clindamycine Belgia, Frankrike, Nederland, Tunisia
Clindanovag Argentina
Clindarix Brasil
Clindasol Tyskland
Clindaval Venezuela
Clindazyn Mexico
Clindo Polen
Clysvic Mexico
Daclin Chile
Dalacin Australia, Belgia, Canada, Chile, Colombia, Danmark, De forente arabiske emirater, Ecuador, Egypt, Finland, Hellas, India, Iran, Irland, Island, Italia, Luxembourg, Malaysia, Mexico, Nederland, New Zealand, Norge, Polen, Saudi-Arabia, Storbritannia, Sveits, Sverige, Tunisia, Ungarn, Venezuela
Dalacine Frankrike, Tunisia
Daladic Iran
Dalcinex India
Damclid India
Damicin Colombia, Mexico
Damicine Colombia
Dolarclin Colombia
Euroclin Colombia, Ecuador
Gynasafe India
Indamid Mexico
Klimicin Polen
Klindan Tyrkia
Klindaver Tyrkia
Lanacine Østerrike
Lincocin Malaysia
Lincosa Malaysia
Meneklin Tyrkia
Sobelin Tyskland
Tidact Malaysia
Oppløsningsstabilitet   Injeksjon   Oppløsningsstabilitet : Clindamycin phosphate     
Beholder Oppløsningsmiddel Konsentrasjon Temperatur Oppbevaring Varighet av stabilitet Referanser
Glass Vann til injeksjon 15 mg/ml 22°C Beskyttes mot lys
91 Dag
80
Bevisgrad C

Glass Vann til injeksjon 15 mg/ml 4°C Beskyttes mot lys
91 Dag
80
Bevisgrad C

Glass Natriumklorid 0,9 % 6 , 9 & 12 mg/ml -10°C Beskyttes mot lys
56 Dag
566

Glass Natriumklorid 0,9 % 6 , 9 & 12 mg/ml 25°C Ikke angitt
16 Dag
566

Glass Natriumklorid 0,9 % 6 , 9 & 12 mg/ml 4°C Beskyttes mot lys
32 Dag
566

Glass Natriumklorid 0,9 % 9 mg/ml 24°C Lys
24 Tid
421
Joker

Glass Natriumklorid 0,9 % 9 mg/ml 25°C Lys
48 Tid
418
Bevisgrad D

Glass Natriumklorid 0,9 % 9 mg/ml 25°C Ikke angitt
48 Tid
565
Bevisgrad D

Glass Natriumklorid 0,9 % 9 & 12 mg/ml 25°C Lys
48 Tid
432
Bevisgrad D

Glass Glukose 5 % 6 , 9 & 12 mg/ml -10°C Beskyttes mot lys
56 Dag
566

Glass Glukose 5 % 6 , 9 & 12 mg/ml 25°C Ikke angitt
16 Dag
566

Glass Glukose 5 % 6 , 9 & 12 mg/ml 4°C Beskyttes mot lys
32 Dag
566

Glass Glukose 5 % 9 mg/ml 24°C Lys
24 Tid
421
Joker

Glass Glukose 5 % 9 mg/ml 25°C Lys
48 Tid
418
Bevisgrad D

Glass Glukose 5 % 9 mg/ml 25°C Ikke angitt
48 Tid
565
Bevisgrad D

Glass Glukose 5 % 9 & 12 mg/ml 25°C Lys
48 Tid
432
Bevisgrad D

Polyvinylklorid Natriumklorid 0,9 % 6 , 9 & 12 mg/ml -10°C Beskyttes mot lys
56 Dag
566

Polyvinylklorid Natriumklorid 0,9 % 6 , 9 & 12 mg/ml 25°C Ikke angitt
16 Dag
566

Polyvinylklorid Natriumklorid 0,9 % 6 , 9 & 12 mg/ml 4°C Beskyttes mot lys
32 Dag
566

Polyvinylklorid Natriumklorid 0,9 % 6 & 12 mg/ml -10°C Beskyttes mot lys
68 Dag
567
Bevisgrad A

Polyvinylklorid Natriumklorid 0,9 % 6 & 12 mg/ml 25°C Ikke angitt
22 Dag
567
Bevisgrad A

Polyvinylklorid Natriumklorid 0,9 % 6 & 12 mg/ml 5°C Beskyttes mot lys
54 Dag
567
Bevisgrad A

Polyvinylklorid Natriumklorid 0,9 % 9 mg/ml -20°C Beskyttes mot lys
28 Dag
565
Bevisgrad D

Polyvinylklorid Natriumklorid 0,9 % 9 mg/ml 24°C Lys
24 Tid
421
Joker

Polyvinylklorid Glukose 5 % 6 mg/ml -20°C Beskyttes mot lys
30 Dag
575
Biologisk metode

Polyvinylklorid Glukose 5 % 6 , 9 & 12 mg/ml -10°C Beskyttes mot lys
56 Dag
566

Polyvinylklorid Glukose 5 % 6 , 9 & 12 mg/ml 25°C Ikke angitt
16 Dag
566

Polyvinylklorid Glukose 5 % 6 , 9 & 12 mg/ml 4°C Beskyttes mot lys
32 Dag
566

Polyvinylklorid Glukose 5 % 6 & 12 mg/ml -10°C Beskyttes mot lys
68 Dag
567
Bevisgrad A

Polyvinylklorid Glukose 5 % 6 & 12 mg/ml 25°C Ikke angitt
22 Dag
567
Bevisgrad A

Polyvinylklorid Glukose 5 % 6 & 12 mg/ml 5°C Beskyttes mot lys
54 Dag
567
Bevisgrad A

Polyvinylklorid Glukose 5 % 9 mg/ml -20°C Beskyttes mot lys
28 Dag
565
Bevisgrad D

Polyvinylklorid Glukose 5 % 9 mg/ml 24°C Lys
24 Tid
421
Joker

Polyetylen Natriumklorid 0,9 % 3 mg/ml 22°C Beskyttes mot lys
24 Tid
1067
Bevisgrad C

Polyetylen Natriumklorid 0,9 % 3 mg/ml 4°C Beskyttes mot lys
24 Tid
1067
Bevisgrad C

Polyetylen Glukose 5 % 3 mg/ml 22°C Beskyttes mot lys
24 Tid
1067
Bevisgrad C

Polyetylen Glukose 5 % 3 mg/ml 4°C Beskyttes mot lys
24 Tid
1067
Bevisgrad C

Etylenvinylacetat Natriumklorid 0,9 % 6 & 12 mg/ml 23°C Beskyttes mot lys
7 Dag
1815
Bevisgrad A +

Etylenvinylacetat Natriumklorid 0,9 % 6 & 12 mg/ml 4°C Beskyttes mot lys
30 Dag
1815
Bevisgrad A +

Sprøyte polypropylen Natriumklorid 0,9 % 150 mg/ml 22°C-23°C Lys
48 Tid
639
Bevisgrad D

Sprøyte polypropylen Natriumklorid 0,9 % 60 mg/ml 25°C Lys
48 Tid
644
Bevisgrad B

Polyisopren elastomer Natriumklorid 0,9 % 2 & 12 mg/ml 25°C Ikke angitt
24 Tid
604
Stabilitetsopplysninger fra produsent

Polyisopren elastomer Natriumklorid 0,9 % 2 & 12 mg/ml 4°C Beskyttes mot lys
10 Dag
604
Stabilitetsopplysninger fra produsent

Ikke angitt Natriumklorid 0,9 % 9,5 mg/ml 2-8°C Ikke angitt
49 Dag
4622
Bevisgrad A +

Ikke angitt Natriumklorid 0,9 % 9,5 mg/ml 25°C Ikke angitt
24 Tid
4622
Bevisgrad A +

Ikke angitt Glukose 5 % 9,5 mg/ml 2-8°C Ikke angitt
47 Dag
4619
Bevisgrad A +

Ikke angitt Glukose 5 % 9,5 mg/ml 25°C Ikke angitt
24 Tid
4619
Bevisgrad A +


  Mentions Légales