Последнее обновление :
18/03/2026
Антибиотик   Clindamycin phosphate  
Инъекция
Стабильность растворов Стабильность смесей Факторы, которые влияют на стабильность Совместимость Способы введения Библиография pdf
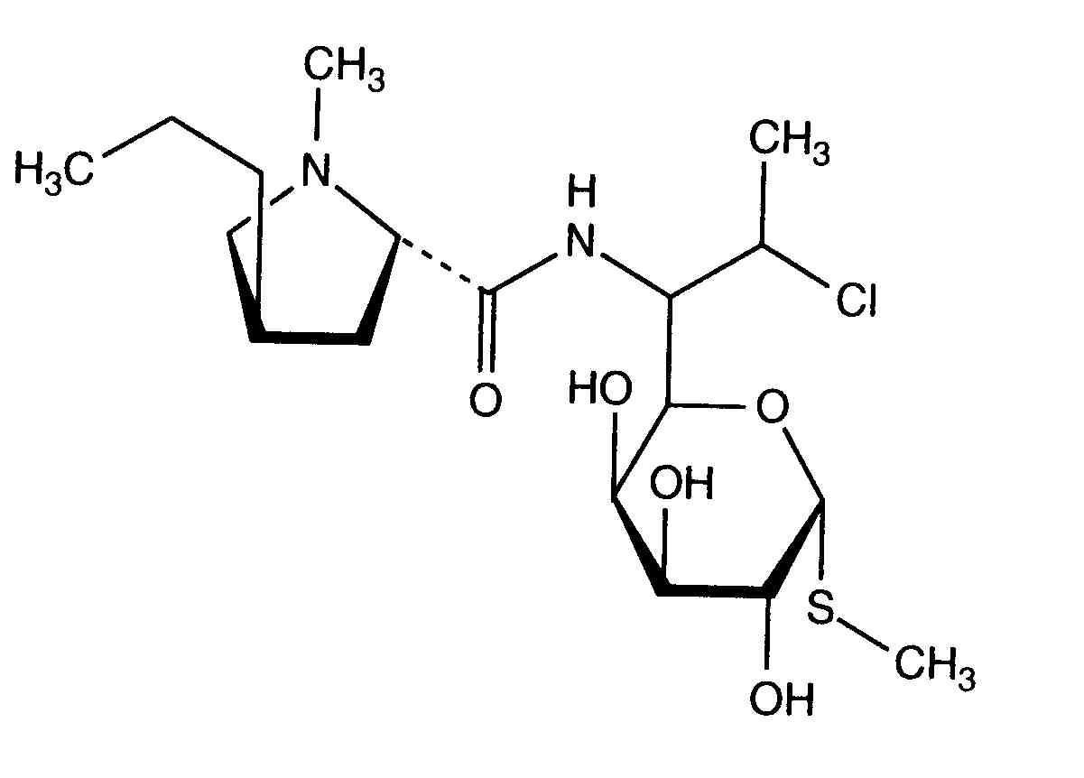
   Химическая структура  

Товарное название   Товарное название     

Trade names are indicative and excipients composition can be different depending on the country and manufacturers

Biodaclin Мексика
Camyda Индия
Cinbiot Мексика
Cleocin Австрия, Соединённые Штаты Америки, Турция
Clinamsa Мексика
Clinbac Колумбия, Перу
Clincina Португалия
Clinda-Saar Германия
Clindacid Венесуэла
Clindacin Малайзия
Clindalaf Аргентина
Clindamicina Аргентина, Бразилия, Венесуэла, Испания, Италия, Колумбия, Мексика, Перу, Португалия, чили, Эквадор
Clindamycin Австрия, Германия, Иран, Канада, Норвегия, Румыния, Саудовская Аравия, Соединённые Штаты Америки, Швеция
Clindamycin-Hameln Германия
Clindamycine Бельгия, Голландия, Тунис, Франция
Clindanovag Аргентина
Clindarix Бразилия
Clindasol Германия
Clindaval Венесуэла
Clindazyn Мексика
Clindo Польша
Clysvic Мексика
Daclin чили
Dalacin Австралия, Бельгия, Великобритания, Венгрия, Венесуэла, Голландия, Греция, Дания, Египет, Индия, Иран, Ирландия, Исландия, Италия, Канада, Колумбия, Люксембург, Малайзия, Мексика, новая Зеландия, Норвегия, Объединенные Арабские Эмираты, Польша, Саудовская Аравия, Тунис, Финляндия, чили, Швейцария, Швеция, Эквадор
Dalacine Тунис, Франция
Daladic Иран
Dalcinex Индия
Damclid Индия
Damicin Колумбия, Мексика
Damicine Колумбия
Dolarclin Колумбия
Euroclin Колумбия, Эквадор
Gynasafe Индия
Indamid Мексика
Klimicin Польша
Klindan Турция
Klindaver Турция
Lanacine Австрия
Lincocin Малайзия
Lincosa Малайзия
Meneklin Турция
Sobelin Германия
Tidact Малайзия
Стабильность растворов   Инъекция   Стабильность растворов : Clindamycin phosphate     
Упаковка Растворитель Концентрация Температура Хранение Продолжительность стабильности Ссылки
Стекло Вода для инъекций 15 mg/ml 22°C Защищён от света
91 День
80
Уровень доказательности C

Стекло Вода для инъекций 15 mg/ml 4°C Защищён от света
91 День
80
Уровень доказательности C

Стекло Натрия хлорид 0,9% 6 , 9 & 12 mg/ml -10°C Защищён от света
56 День
566

Стекло Натрия хлорид 0,9% 6 , 9 & 12 mg/ml 25°C Не указано
16 День
566

Стекло Натрия хлорид 0,9% 6 , 9 & 12 mg/ml 4°C Защищён от света
32 День
566

Стекло Натрия хлорид 0,9% 9 mg/ml 24°C Свет
24 Час
421
ДЖОКЕР

Стекло Натрия хлорид 0,9% 9 mg/ml 25°C Свет
48 Час
418
Уровень доказательности D

Стекло Натрия хлорид 0,9% 9 mg/ml 25°C Не указано
48 Час
565
Уровень доказательности D

Стекло Натрия хлорид 0,9% 9 & 12 mg/ml 25°C Свет
48 Час
432
Уровень доказательности D

Стекло Глюкоза 5% 6 , 9 & 12 mg/ml -10°C Защищён от света
56 День
566

Стекло Глюкоза 5% 6 , 9 & 12 mg/ml 25°C Не указано
16 День
566

Стекло Глюкоза 5% 6 , 9 & 12 mg/ml 4°C Защищён от света
32 День
566

Стекло Глюкоза 5% 9 mg/ml 24°C Свет
24 Час
421
ДЖОКЕР

Стекло Глюкоза 5% 9 mg/ml 25°C Свет
48 Час
418
Уровень доказательности D

Стекло Глюкоза 5% 9 mg/ml 25°C Не указано
48 Час
565
Уровень доказательности D

Стекло Глюкоза 5% 9 & 12 mg/ml 25°C Свет
48 Час
432
Уровень доказательности D

Поливинилхлорид Натрия хлорид 0,9% 6 , 9 & 12 mg/ml -10°C Защищён от света
56 День
566

Поливинилхлорид Натрия хлорид 0,9% 6 , 9 & 12 mg/ml 25°C Не указано
16 День
566

Поливинилхлорид Натрия хлорид 0,9% 6 , 9 & 12 mg/ml 4°C Защищён от света
32 День
566

Поливинилхлорид Натрия хлорид 0,9% 6 & 12 mg/ml -10°C Защищён от света
68 День
567
Уровень доказательности A

Поливинилхлорид Натрия хлорид 0,9% 6 & 12 mg/ml 25°C Не указано
22 День
567
Уровень доказательности A

Поливинилхлорид Натрия хлорид 0,9% 6 & 12 mg/ml 5°C Защищён от света
54 День
567
Уровень доказательности A

Поливинилхлорид Натрия хлорид 0,9% 9 mg/ml -20°C Защищён от света
28 День
565
Уровень доказательности D

Поливинилхлорид Натрия хлорид 0,9% 9 mg/ml 24°C Свет
24 Час
421
ДЖОКЕР

Поливинилхлорид Глюкоза 5% 6 mg/ml -20°C Защищён от света
30 День
575
Биологический метод

Поливинилхлорид Глюкоза 5% 6 , 9 & 12 mg/ml -10°C Защищён от света
56 День
566

Поливинилхлорид Глюкоза 5% 6 , 9 & 12 mg/ml 25°C Не указано
16 День
566

Поливинилхлорид Глюкоза 5% 6 , 9 & 12 mg/ml 4°C Защищён от света
32 День
566

Поливинилхлорид Глюкоза 5% 6 & 12 mg/ml -10°C Защищён от света
68 День
567
Уровень доказательности A

Поливинилхлорид Глюкоза 5% 6 & 12 mg/ml 25°C Не указано
22 День
567
Уровень доказательности A

Поливинилхлорид Глюкоза 5% 6 & 12 mg/ml 5°C Защищён от света
54 День
567
Уровень доказательности A

Поливинилхлорид Глюкоза 5% 9 mg/ml -20°C Защищён от света
28 День
565
Уровень доказательности D

Поливинилхлорид Глюкоза 5% 9 mg/ml 24°C Свет
24 Час
421
ДЖОКЕР

Полиэтилен Натрия хлорид 0,9% 3 mg/ml 22°C Защищён от света
24 Час
1067
Уровень доказательности C

Полиэтилен Натрия хлорид 0,9% 3 mg/ml 4°C Защищён от света
24 Час
1067
Уровень доказательности C

Полиэтилен Глюкоза 5% 3 mg/ml 22°C Защищён от света
24 Час
1067
Уровень доказательности C

Полиэтилен Глюкоза 5% 3 mg/ml 4°C Защищён от света
24 Час
1067
Уровень доказательности C

Этилен-винилацетат Натрия хлорид 0,9% 6 & 12 mg/ml 23°C Защищён от света
7 День
1815
Уровень доказательности A +

Этилен-винилацетат Натрия хлорид 0,9% 6 & 12 mg/ml 4°C Защищён от света
30 День
1815
Уровень доказательности A +

Шприц полипропилен Натрия хлорид 0,9% 150 mg/ml 22°C-23°C Свет
48 Час
639
Уровень доказательности D

Шприц полипропилен Натрия хлорид 0,9% 60 mg/ml 25°C Свет
48 Час
644
Уровень доказательности B

Полиизопреновый эластомер Натрия хлорид 0,9% 2 & 12 mg/ml 25°C Не указано
24 Час
604
Данные по стабльности от изготовителя

Полиизопреновый эластомер Натрия хлорид 0,9% 2 & 12 mg/ml 4°C Защищён от света
10 День
604
Данные по стабльности от изготовителя

Не указано Натрия хлорид 0,9% 9,5 mg/ml 2-8°C Не указано
49 День
4622
Уровень доказательности A +

Не указано Натрия хлорид 0,9% 9,5 mg/ml 25°C Не указано
24 Час
4622
Уровень доказательности A +

Не указано Глюкоза 5% 9,5 mg/ml 2-8°C Не указано
47 День
4619
Уровень доказательности A +

Не указано Глюкоза 5% 9,5 mg/ml 25°C Не указано
24 Час
4619
Уровень доказательности A +


  Mentions Légales