Son güncelleme :
18/03/2026
Antibiyotik   Azithromycine  
Enjeksiyon
Merhem
Çözeltilerin stabilitesi Karışımlardaki stabilitesi Stabiliteyi etkileyen faktörler Uyumluluk Uygulama yöntemi Kaynaklar pdf
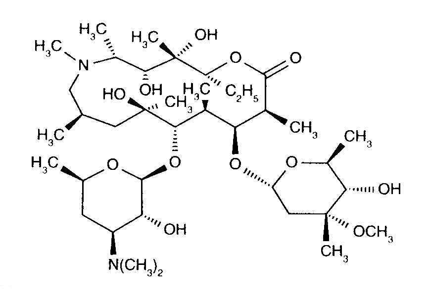
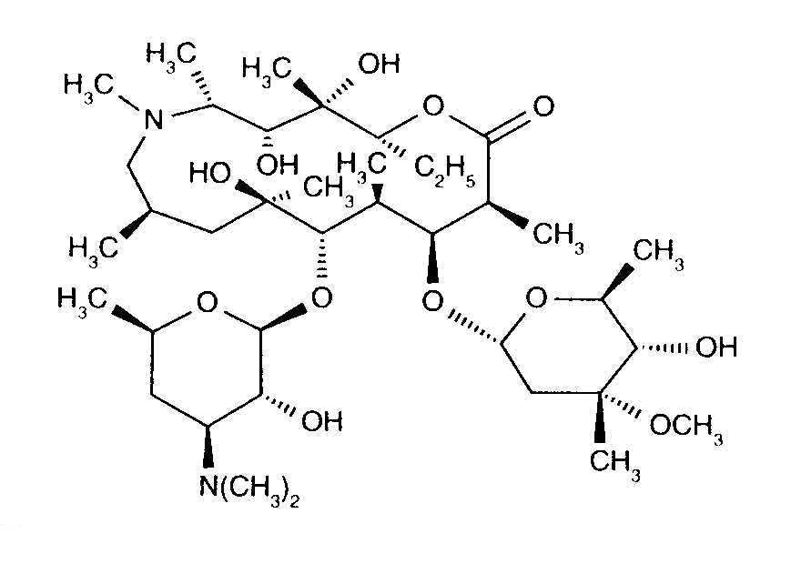
   Kimyasal yapı   

Ticari isim   Ticari isim     

Trade names are indicative and excipients composition can be different depending on the country and manufacturers

Azithromycin Kanada
Azithromycina Ekvador
Azithromycine Dr Erbeth Almanya
Azitromax İsveç
Sumamed Macaristan, Polonya
Zaret Kolombiya
Zedbac Büyük Britanya, İrlanda
Zetamac Çek Cumhuriyeti
Zithromac Japonya
Zithromax Amerika Birleşik Devletleri, Avustralya, Birleşik Arap Emirlikleri, Finlandiya, Kanada, Malezya, Mısır, Portekiz, Şili, Suudi Arabistan
Çözeltilerin stabilitesi   Enjeksiyon    Çözeltilerin stabilitesi : Azithromycine     
veri yok

  Mentions Légales