zadnja posodobitev :
27/11/2025
Antibiotik   Azithromycine  
Brizgalka
Mazila
Stabilnost raztopine Stabilnost mešanice Faktorji, ki vplivajo na stabilnost Kompatibilnost način aplikacije Viri pdf
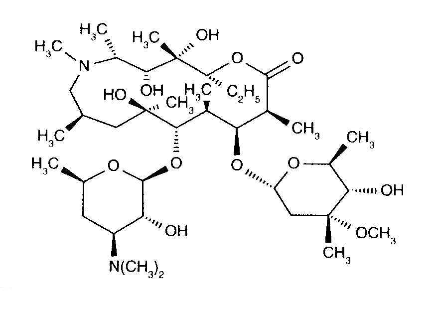
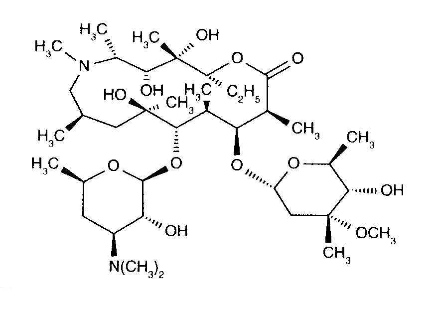
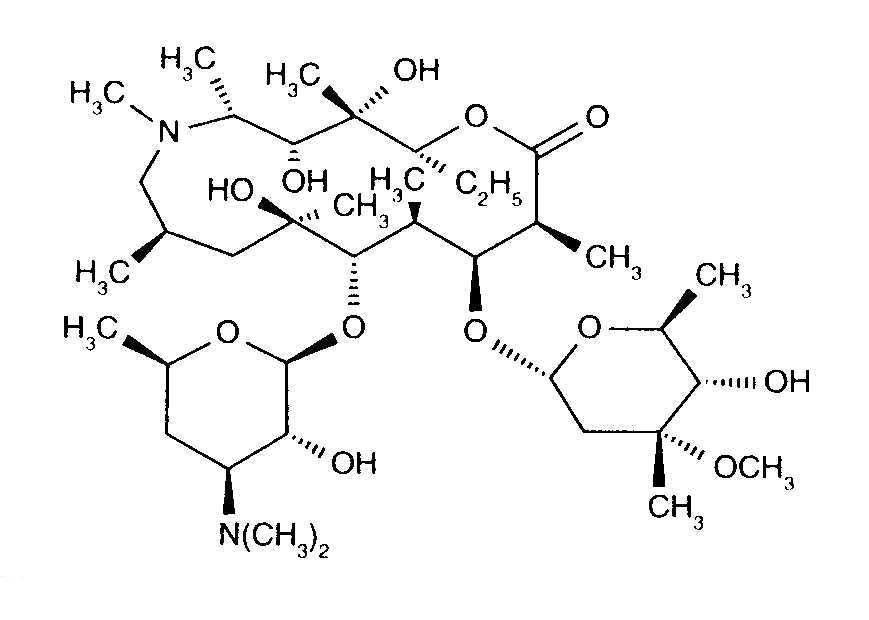
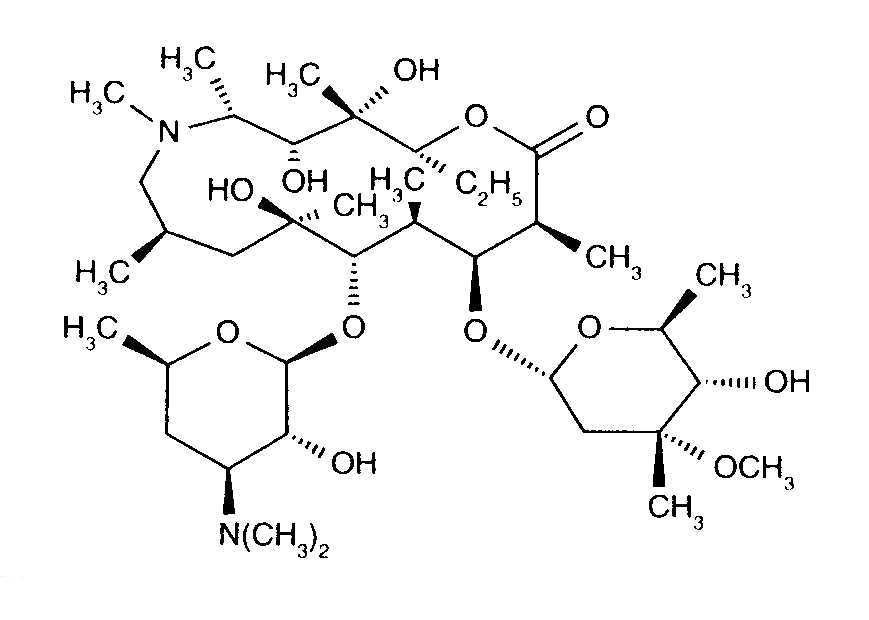
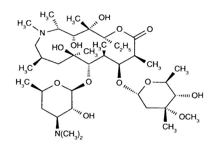
   Kemična formula  

Lastniško ime   Lastniško ime     

Sestava pomožnih snovi je med paralelami lahko različna

Azithromycin Kanada
Azithromycina Ekvador
Azithromycine Dr Erbeth Nemčija
Azitromax Švedska
Sumamed Madžarska, Poljska
Zaret Kolumbija
Zedbac Irska, Velika Britanija
Zetamac Češka
Zithromac Japonska
Zithromax Avstralija, Čile, Egipt, Finska, Kanada, Malezija, Portugalska, Savdska Arabija, Združene države Amerike, Združeni arabski emirati
Stabilnost raztopine   Brizgalka   Stabilnost raztopine : Azithromycine     
ni podatka

  Mentions Légales