Laatste update :
27/11/2025
Antibioticum   Azithromycine  
injecteerbaar geneesmiddel
zalf
Stabiliteit in oplossing Stabiliteit in mengsels Factoren die de stabiliteit beïnvloeden Verenigbaarheden Toedieningswijze Literatuur pdf
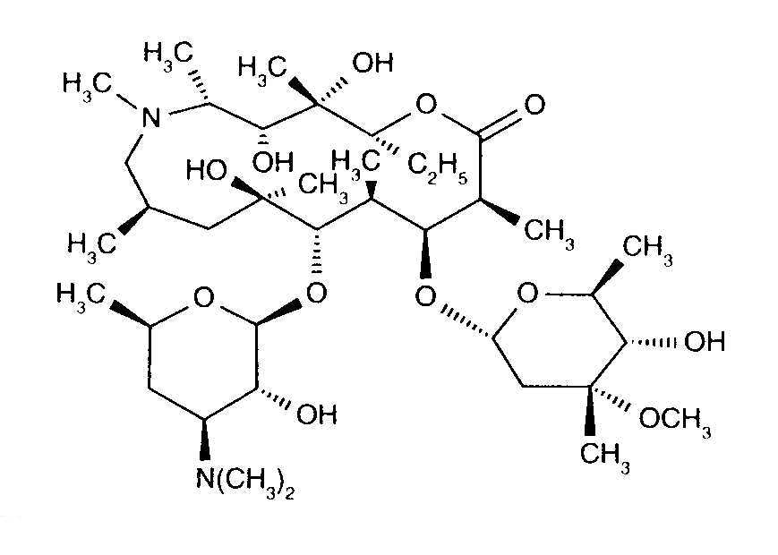
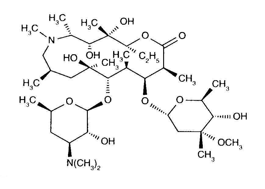
   Molecuulstructuur  

Merknamen in verschillende landen   Merknamen in verschillende landen     

Handelsnamen zijn slechts een indicatie; de samenstelling van hulpstoffen kan per land variëren afhankelijk van de fabrikant

Azithromycin Canada
Azithromycina Ecuador
Azithromycine Dr Erbeth Duitsland
Azitromax Zweden
Sumamed Hongarije, Polen
Zaret Colombia
Zedbac Groot Britannië, Ierland
Zetamac Tsjechische Republiek
Zithromac Japan
Zithromax Australië, Canada, Chili, Egypte, Finland, Maleisië, Portugal, Saudi-Arabië, USA, Verenigde Arabische Emiraten
Stabiliteit in oplossing   injecteerbaar geneesmiddel   Stabiliteit in oplossing : Azithromycine     
geen gegevens

  Mentions Légales