Last update :
18/03/2026
Antibiotic   Azithromycine  
injection
Ointments
Stability in solutions Stability of mixtures Factors which affect stability Compatibility Route of administration References pdf
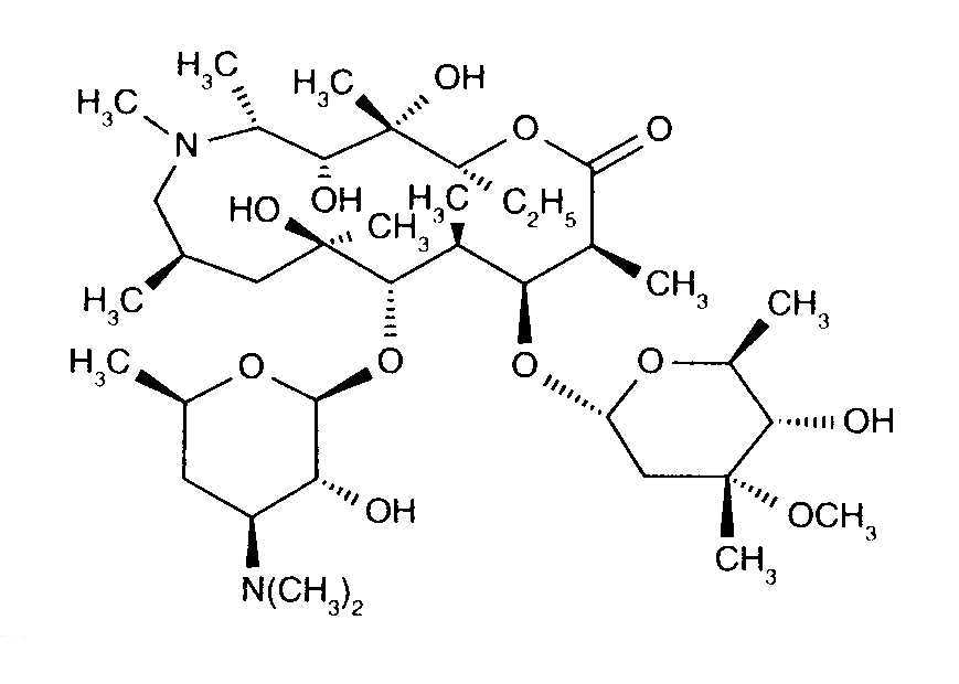
   Chemical structure  

Tradename   Tradename     

Trade names are indicative and excipients composition can be different depending on the country and manufacturers

Azithromycin Canada
Azithromycina Ecuador
Azithromycine Dr Erbeth Germany
Azitromax Sweden
Sumamed Hungary, Poland
Zaret Colombia
Zedbac Great Britain, Ireland
Zetamac Czech Republic
Zithromac Japan
Zithromax Australia, Canada, Chile, Egypt, Finland, Malaysia, Portugal, Saudi Arabia, United Arab Emirates, United States of America
Stability in solutions   injection   Stability in solutions : Azithromycine     
No data

  Mentions Légales