Viimeisin päivitys :
18/03/2026
Antibiootit   Azithromycine  
Injektioneste
Salvat
Stabilius liuoksessa Stabilius seoksissa Tekijät, jotka vaikuttavat stabiliuteen Yhteensopivuus Antotapa Viitteet pdf
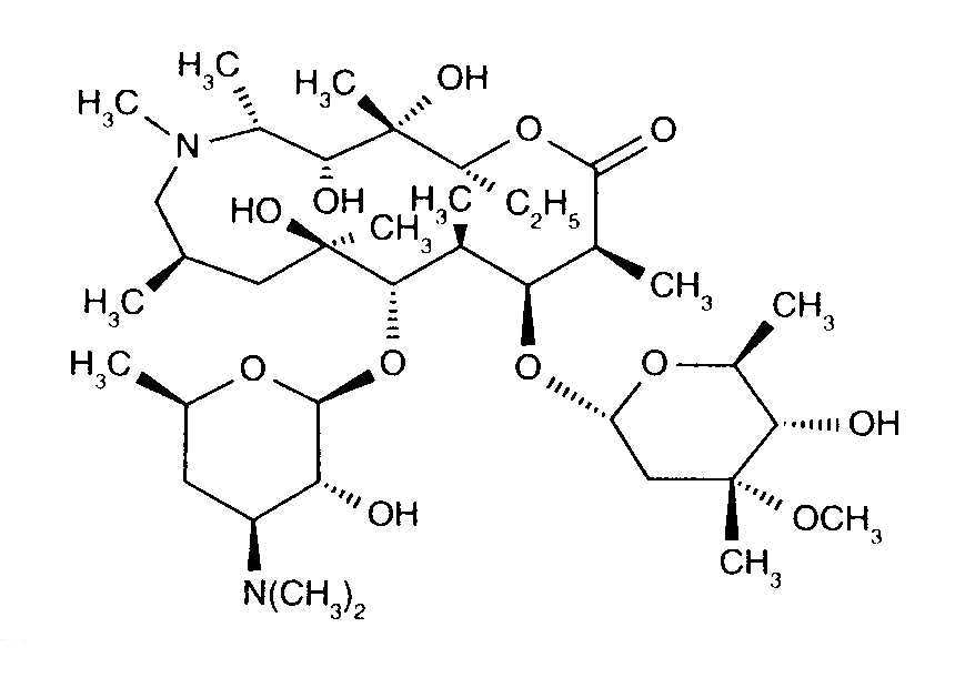
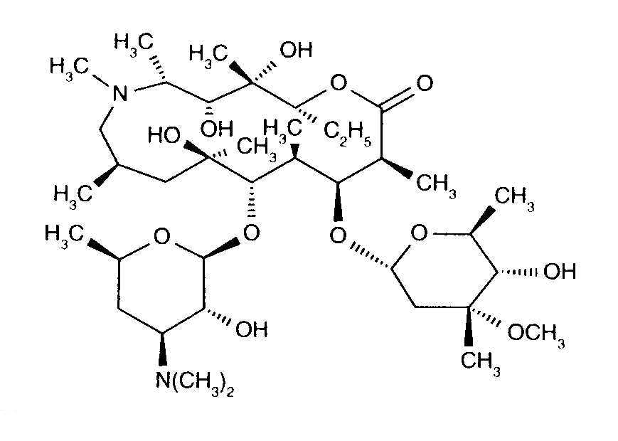
   Kemiallinen rakenne  

Kauppanimi   Kauppanimi     

Trade names are indicative and excipients composition can be different depending on the country and manufacturers

Azithromycin Kanada
Azithromycina Ecuador
Azithromycine Dr Erbeth Saksa
Azitromax Ruotsi
Sumamed Puola, Unkari
Zaret Kolumbia
Zedbac Irlanti, Iso-Britannia
Zetamac Tsekin tasavalta
Zithromac Japani
Zithromax Australia, Chile, Egypti, Kanada, Malesia, Portugali, Saudi-Arabia, Suomi, Yhdistyneet arabiemiirikunnat, Yhdysvallat
Stabilius liuoksessa   Injektioneste   Stabilius liuoksessa : Azithromycine     
ei tietoa

  Mentions Légales