Poslední aktualizace :
27/11/2025
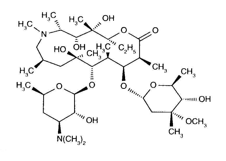
Antibiotikum   Azithromycine  
injekce
Masti
Stabilita roztoků Stabilita směsí Faktory ovlivňující stabilitu Kompatibilita Způsoby aplikace Odkazy pdf
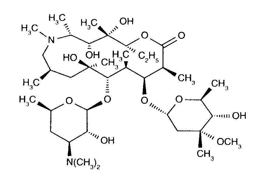
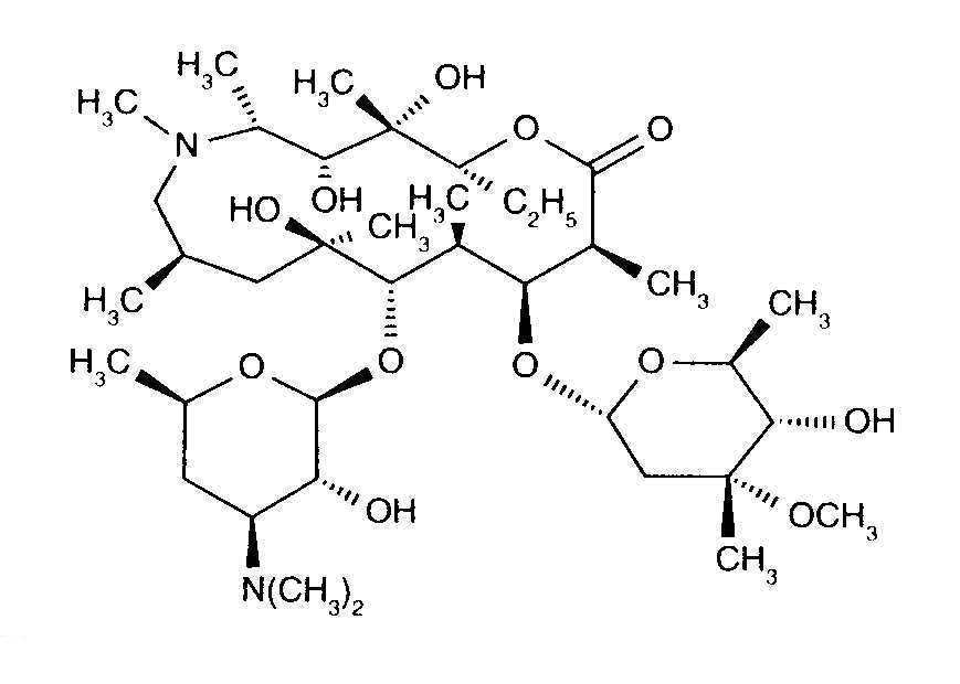
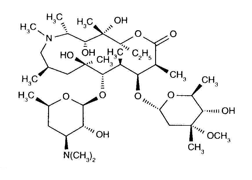
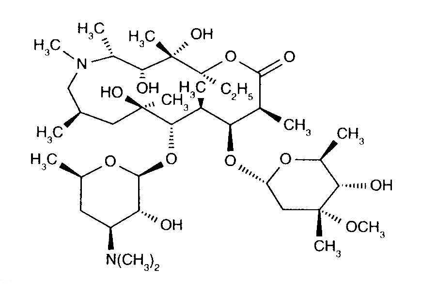
   Chemický vzorec  

Obchodní název   Obchodní název     

Trade names are indicative and excipients composition can be different depending on the country and manufacturers

Azithromycin Kanada
Azithromycina Ekvádor
Azithromycine Dr Erbeth NÏmecko
Azitromax Švédsko
Sumamed MaÔarsko, Polsko
Zaret Kolumbie
Zedbac Irsko, Velká Británie
Zetamac Česká republika
Zithromac Japonsko
Zithromax Austrálie, Chile, Egypt, Finsko, Kanada, Malajsie, Portugalsko, Saúdská Arábie, Spojené arabské emiráty, USA
Stabilita roztoků   injekce   Stabilita roztoků : Azithromycine     
žádná data

  Mentions Légales