Posledná aktualizácia :
18/03/2026
antikoagulans   Bivalirudin  
Injekcia
Stabilita roztokov Stabilita v zmesiach Faktory ovplyvňujúce stabilitu Kompatibility spôsob podania Odkazy na literatúru PDF
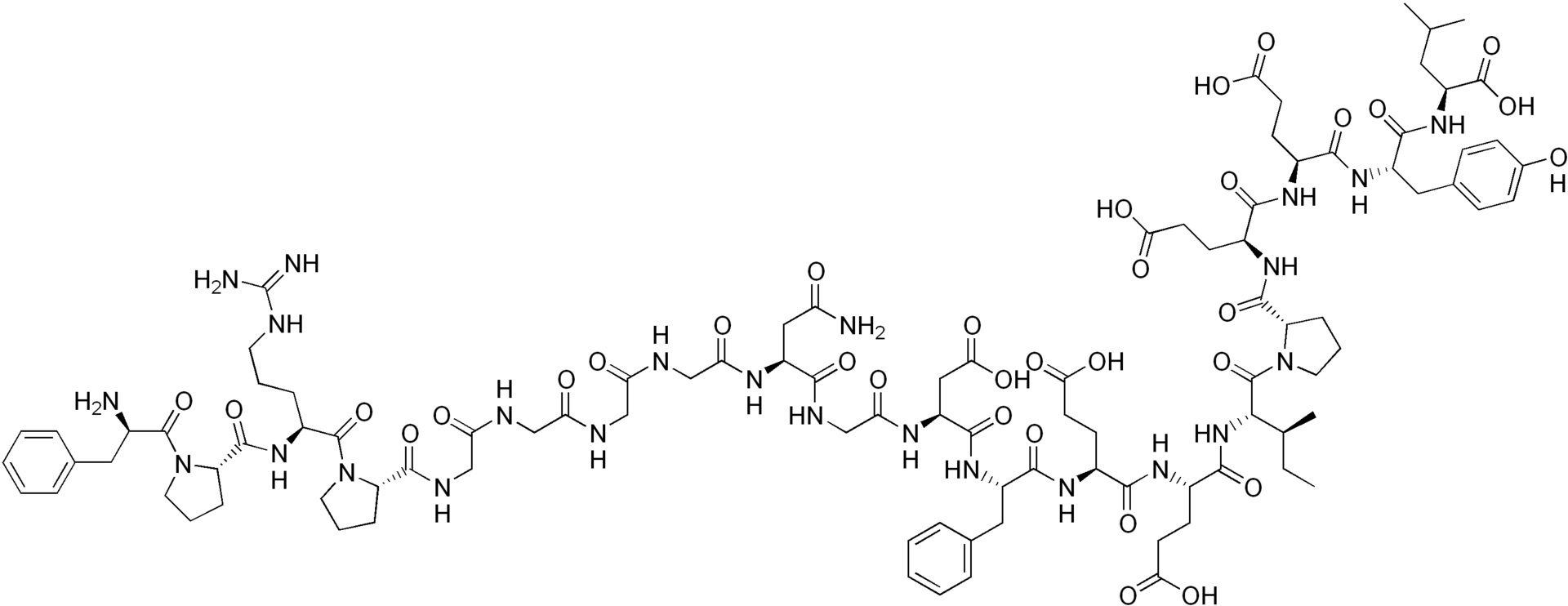
   Chemický vzorec  

Obchodný názov   Obchodný názov     

Obchodné názvy sú orientačné, a zloženie pomocných látok sa môže líšiť v závislosti od krajiny a výrobcu.

Amuprux Argentína
Angiomax Austrália, Čile, Kanada, nový Zéland, peru, Spojené štáty Americké, Venezuela
Angiox Dánsko, Fínsko, Grécko, Holandsko, Island, Maďarsko, Nórsko, Poľsko, Rakúsko, Rumunsko, Slovinsko, Španielsko, Spojené štáty Americké, Taliansko, Veľká Británia
Bivalirudin Belgicko, Dánsko, Fínsko, Nemecko, Slovinsko, Švédsko, Veľká Británia
Bivalirudina Španielsko, Taliansko

Faktory ovplyvňujúce stabilitu   Injekcia   Faktory ovplyvňujúce stabilitu : Bivalirudin        
žiadne údaje

  Mentions Légales