Last update :
23/03/2026
Anticoagulant   Bivalirudin  
injection
Stability in solutions Stability of mixtures Factors which affect stability Compatibility Route of administration References pdf
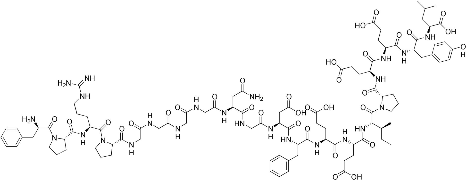
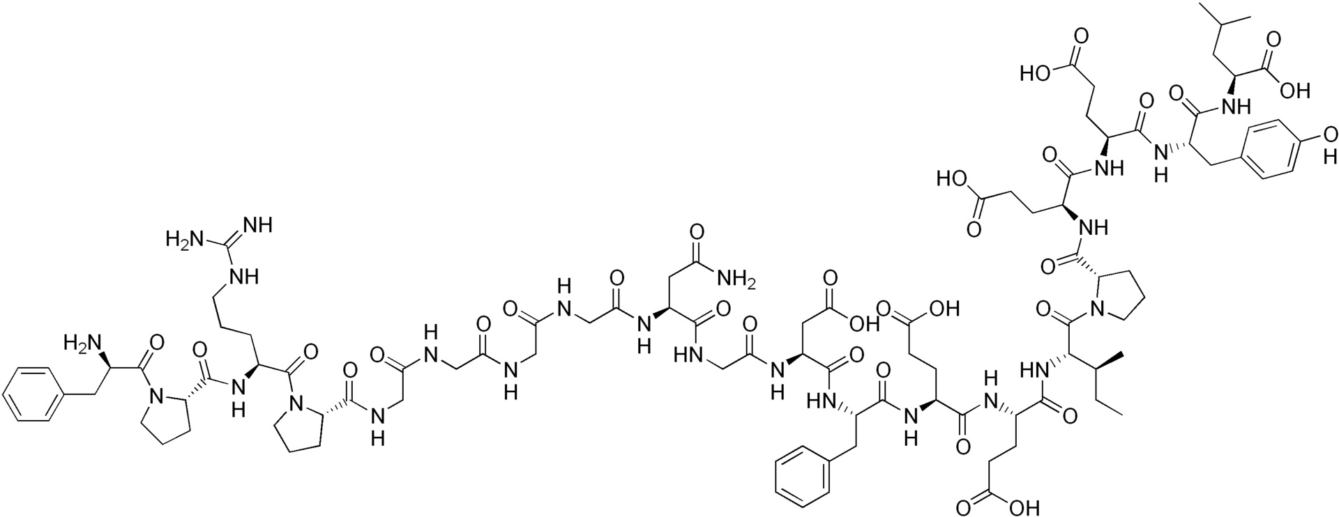
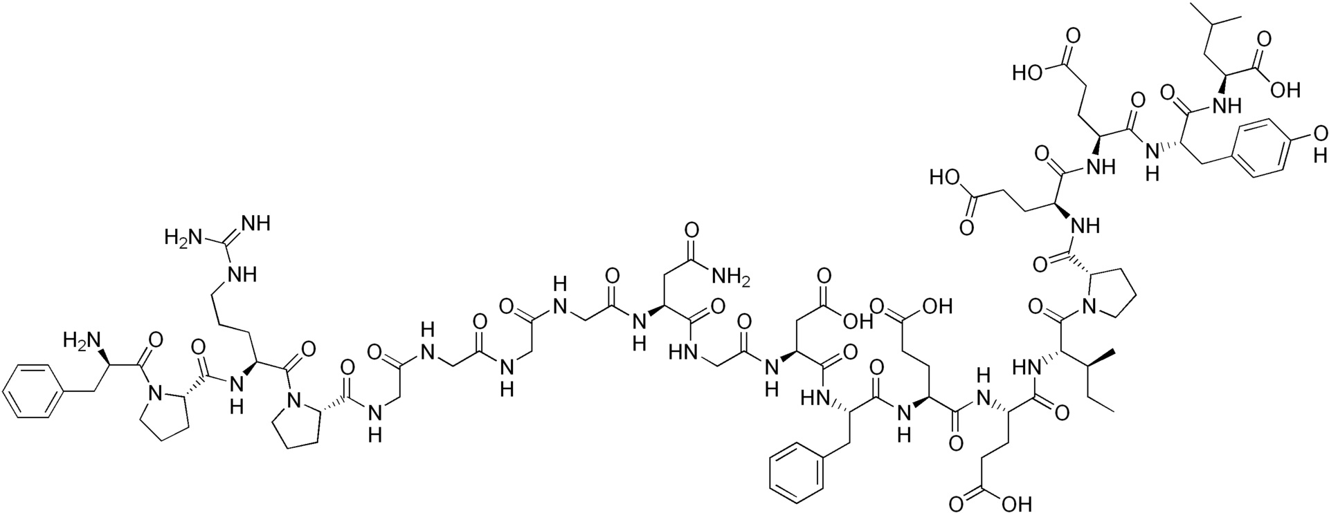
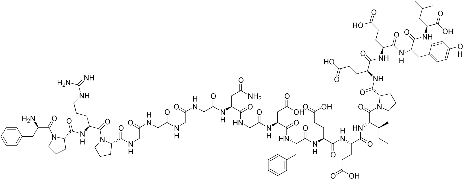
   Chemical structure  

Tradename   Tradename     

Trade names are indicative and excipients composition can be different depending on the country and manufacturers

Amuprux Argentina
Angiomax Australia, Canada, Chile, New Zealand, Peru, United States of America, Venezuela
Angiox Austria, Denmark, Finland, Great Britain, Greece, Hungary, Iceland, Italy, Netherlands, Norway, Poland, Romania, Slovenia, Spain, United States of America
Bivalirudin Belgium, Denmark, Finland, Germany, Great Britain, Slovenia, Sweden
Bivalirudina Italy, Spain

Factors which affect stability   injection   Factors which affect stability : Bivalirudin        
No data

  Mentions Légales