Последнее обновление :
23/03/2026
Антикоагулянт   Bivalirudin  
Инъекция
Стабильность растворов Стабильность смесей Факторы, которые влияют на стабильность Совместимость Способы введения Библиография pdf
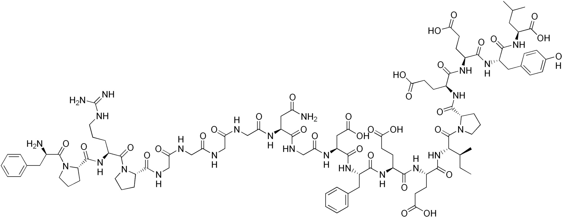
   Химическая структура  

Товарное название   Товарное название     

Trade names are indicative and excipients composition can be different depending on the country and manufacturers

Amuprux Аргентина
Angiomax Австралия, Венесуэла, Канада, новая Зеландия, Перу, Соединённые Штаты Америки, чили
Angiox Австрия, Великобритания, Венгрия, Голландия, Греция, Дания, Исландия, Испания, Италия, Норвегия, Польша, Румыния, Словения, Соединённые Штаты Америки, Финляндия
Bivalirudin Бельгия, Великобритания, Германия, Дания, Словения, Финляндия, Швеция
Bivalirudina Испания, Италия

Факторы, которые влияют на стабильность   Инъекция   Факторы, которые влияют на стабильность : Bivalirudin        
данных нет

  Mentions Légales