Viimeisin päivitys :
18/03/2026
Antikoagulantit   Bivalirudin  
Injektioneste
Stabilius liuoksessa Stabilius seoksissa Tekijät, jotka vaikuttavat stabiliuteen Yhteensopivuus Antotapa Viitteet pdf
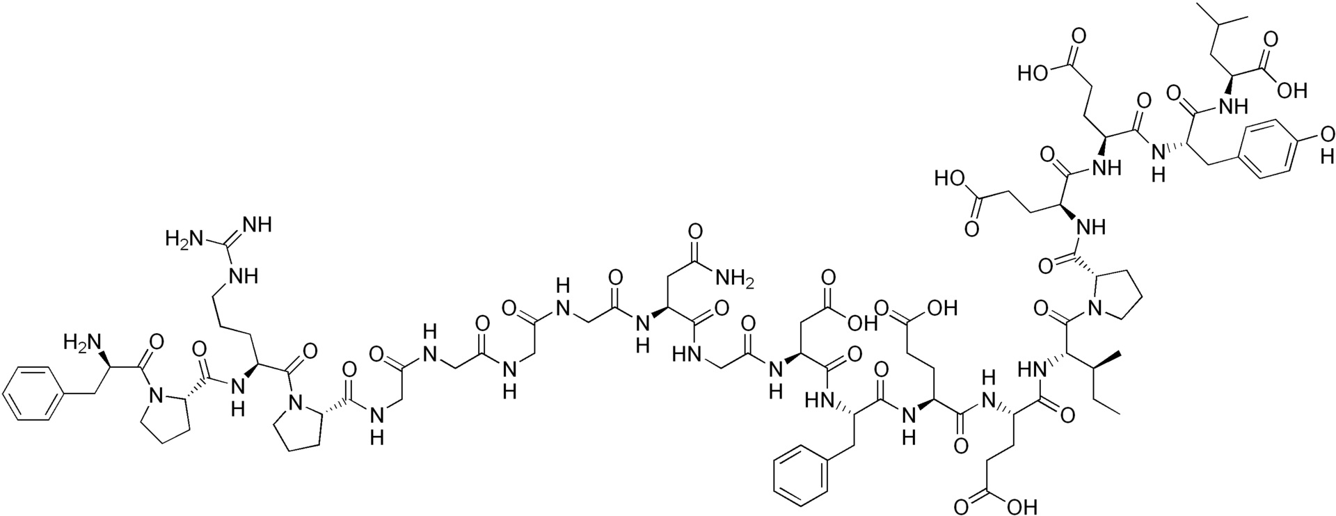
   Kemiallinen rakenne  

Kauppanimi   Kauppanimi     

Trade names are indicative and excipients composition can be different depending on the country and manufacturers

Amuprux Argentiina
Angiomax Australia, Chile, Kanada, Marokko, New Zealand, Venezuela, Yhdysvallat
Angiox Espanja, Hollanti, Islanti, Iso-Britannia, Italia, Itävalta, Kreikka, Norja, Puola, Romania, Slovenia, Suomi, Tanska, Unkari, Yhdysvallat
Bivalirudin Belgia, Iso-Britannia, Ruotsi, Saksa, Slovenia, Suomi, Tanska
Bivalirudina Espanja, Italia

Tekijät, jotka vaikuttavat stabiliuteen   Injektioneste   Tekijät, jotka vaikuttavat stabiliuteen : Bivalirudin        
ei tietoa

  Mentions Légales