viimane versioon :
18/03/2026
antikoagulant   Bivalirudin  
Süsteravim
Stabiilsus lahustes Stabiilsust mõjutavad tegurid stabiilsust mõjutavad faktorid Sobimatus Manustamis viis Viited pdf
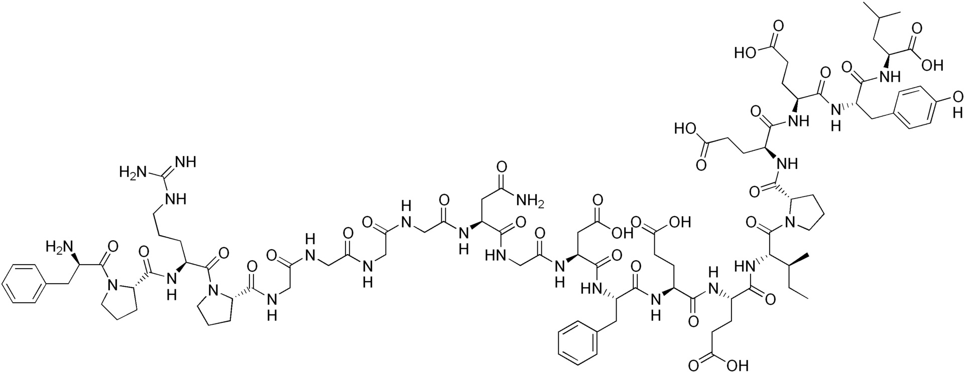
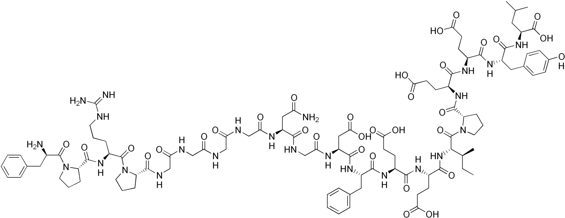
   keemiline struktuur  

Kaubanduslikud nimed erinevates maades   Kaubanduslikud nimed erinevates maades     

Preparaatide nimed on näitlikud ja abianete sisaldus võib erineda sõltuvalt riigist ja laborist

Amuprux Argentiina
Angiomax Ameerika ühendriigid, Austraalia, Kanada, Maroko, Tšiili, uus-Meremaa, Venetsueela
Angiox Ameerika ühendriigid, Austria, Hispaania, Holland, Island, Itaalia, Kreeka, Norra, Poola, Rumeenia, Sloveenia, Soome, Suurbritannia, Taani, Ungari
Bivalirudin Belgia, Rootsi, Saksamaa, Sloveenia, Soome, Suurbritannia, Taani
Bivalirudina Hispaania, Itaalia

stabiilsust mõjutavad faktorid   Süsteravim   stabiilsust mõjutavad faktorid : Bivalirudin        
andmed puuduvad

  Mentions Légales