Siste oppdatering :
18/03/2026
Antikoagulantia   Bivalirudin  
Injeksjon
Oppløsningsstabilitet Stabilitet i blandinger Faktorer som påvirker stabiliteten Kompatibilitet Administrasjonsmåte Referanser pdf
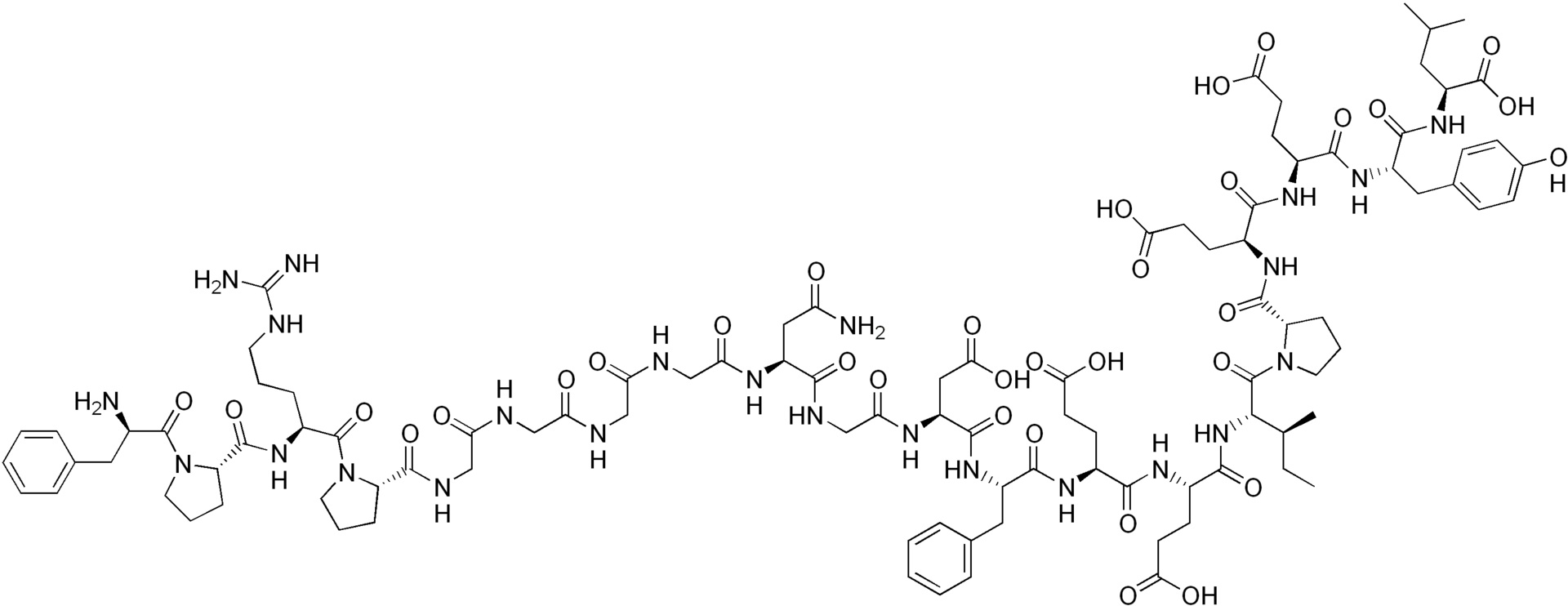
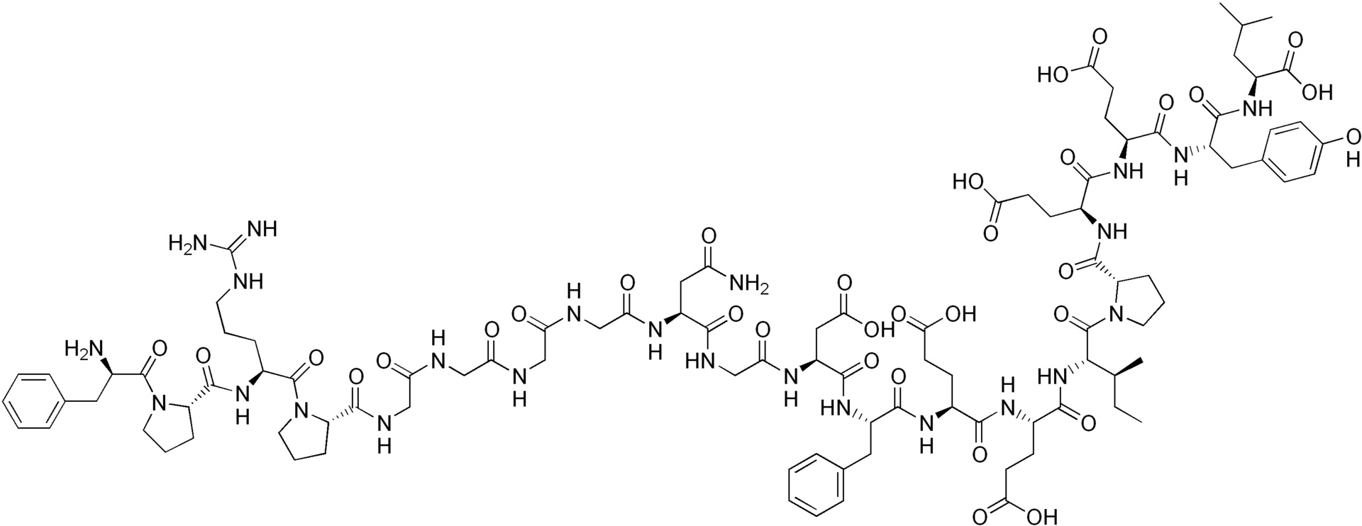
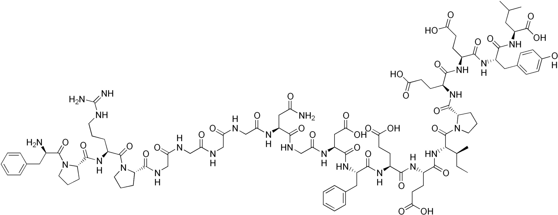
   Kjemisk struktur  

Handelsnavn   Handelsnavn     

Handelsnavn er veiledende og sammensetning av hjelpestoffer kan være forskjellig avhengig av land og produsent

Amuprux Argentina
Angiomax Australia, Canada, Chile, New Zealand, Peru, USA, Venezuela
Angiox Danmark, Finland, Hellas, Island, Italia, Nederland, Norge, Polen, Romania, Slovenia, Spania, Storbritannia, Ungarn, USA, Østerrike
Bivalirudin Belgia, Danmark, Finland, Slovenia, Storbritannia, Sverige, Tyskland
Bivalirudina Italia, Spania

Faktorer som påvirker stabiliteten   Injeksjon   Faktorer som påvirker stabiliteten : Bivalirudin        
Ingen opplysninger

  Mentions Légales