Останнє оновлення :
17/12/2025
Антибіотик   Amoxicillin sodium / clavulanic acid  
ін'єкція
Розчин для перорального застосування
Стійкість в розчинах Стійкість сумішей Фактори, що впливають на стабільність Сумісність Шлях введення Список літератури pdf
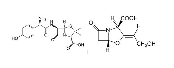
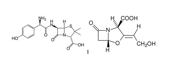
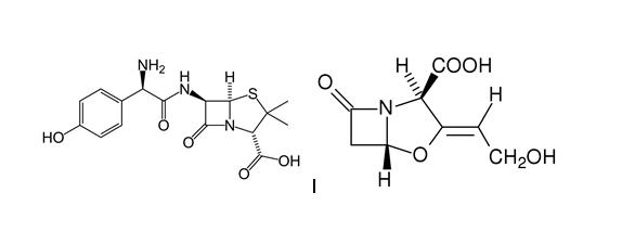
   Хімічна структура  

Торгова назва   Торгова назва     

Торгові назви є орієнтовними, а склад допоміжних речовин може бути різним залежно від країни та виробника

Aktil Угорщина
Amoclan Саудівська Аравія
Amoklavin Туреччина
Amoksiklav Польща
Amoxclav Саудівська Аравія
Amplamox Бразилія
Augmentin Іспанія, Італія, Австрія, Бельгія, Великобританія, Греція, Еквадор, Нідерланди, Об'єднані Арабські Емірати, Польща, Саудівська Аравія, Туреччина, Франція, Чилі, Швейцарія
Betamox Португалія
Clavamox Австрія
Clavicin Венесуела, Малайзія
Clavulin Бразилія
Co-amoxi Швейцарія
Co-Amoxicillin Швейцарія
Curam Нова Зеландія, Саудівська Аравія
Darzitil Аргентина
Dibional Аргентина
Julmentin Об'єднані Арабські Емірати
Novamox Бразилія
Sulbamox Чилі
Tarometin Польща
Trifamox Аргентина, Еквадор, Колумбія, Мексика
Шлях введення   Шлях введення :Amoxicillin sodium / clavulanic acid     
Маршрут
Внутрішньовенне
Внутрішньовенне вливання
Внутрішньовенне вливання

  Mentions Légales