Seneste opdatering :
12/12/2025
Antibiotisk   Amoxicillin sodium / clavulanic acid  
Injektion
Oral opløsning
Stabilitet i (vandige) opløsninger Stabilitet i blandinger Faktorer der påvirker stabiliteten Kompatibilitet Administrationsvej Bibliografi pdf
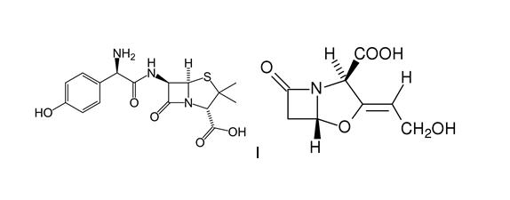
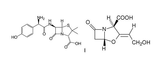
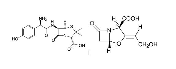
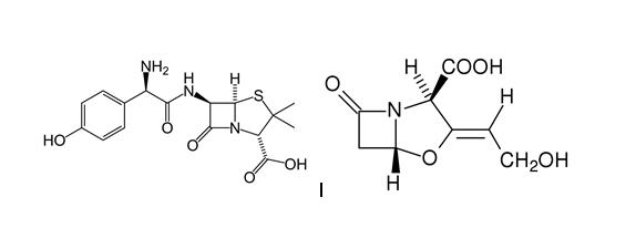
   Kemisk struktur  

Handelsnavn   Handelsnavn     

Handel navne er vejledende og hjælpestoffer sammensætning kan være forskellig afhængigt af landet og laboratorier

Aktil Ungarn
Amoclan Saudi-Arabien
Amoklavin Tyrkiet
Amoksiklav Polen
Amoxclav Saudi-Arabien
Amplamox Brasilien
Augmentin Belgien, Chile, Ecuador, Forenede Arabiske Emirater, Frankrig, Grækenland, Holland, Italien, Polen, Saudi-Arabien, Schweiz, Spanien, Storbritanien, Tyrkiet, Østrig
Betamox Portugal
Clavamox Østrig
Clavicin Malaysia, Venezuela
Clavulin Brasilien
Co-amoxi Schweiz
Co-Amoxicillin Schweiz
Curam New Zealand, Saudi-Arabien
Darzitil Argentina
Dibional Argentina
Julmentin Forenede Arabiske Emirater
Novamox Brasilien
Sulbamox Chile
Tarometin Polen
Trifamox Argentina, Colombia, Ecuador, Mexico
Administrationsvej   Administrationsvej :Amoxicillin sodium / clavulanic acid     
Voie
Intravenøs
Intravenøs infusion
Intravenøs infusion

  Mentions Légales