Pēdējā atjaunošana :
12/12/2025
Antibiotika   Amoxicillin sodium / clavulanic acid  
Injekcija
Orāls šķīdums
Šķīduma stabilitāte Maisījuma stabilitāte Stabilitāti ietekmējoši faktori Saderība Levadīšanas veids Literatūras saraksts pdf
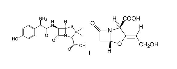
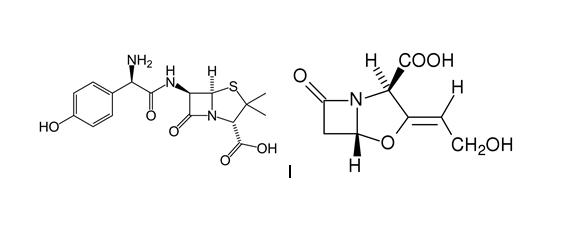
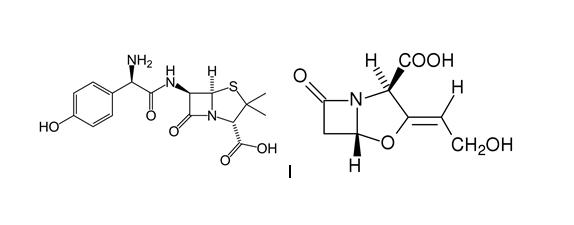
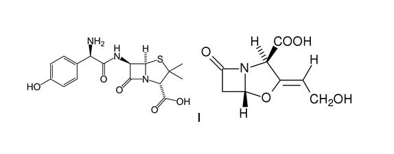
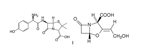
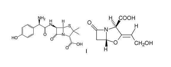
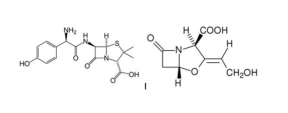
   Ķīmiskā uzbūve   

Oriģinālais nosaukums   Oriģinālais nosaukums     

Tirdzniecības nosaukumi ir apzīmējoši un palīgvielas var atšķirties dažādām valstīm un laboratorijām

Aktil Ungārija
Amoclan Saūda Arābija
Amoklavin Turcija
Amoksiklav Polija
Amoxclav Saūda Arābija
Amplamox Brazīlija
Augmentin Apvienotie Arābu Emirāti, Austrija, Beļģija, Čīle, Ekvadora, Francija, Grieķija, Holande, Itālija, Lielbritānija, Polija, Saūda Arābija, Spānija, Šveice, Turcija
Betamox Portugāle
Clavamox Austrija
Clavicin Malaizija, Venecuēla
Clavulin Brazīlija
Co-amoxi Šveice
Co-Amoxicillin Šveice
Curam Jaunzēlande, Saūda Arābija
Darzitil Argentīna
Dibional Argentīna
Julmentin Apvienotie Arābu Emirāti
Novamox Brazīlija
Sulbamox Čīle
Tarometin Polija
Trifamox Argentīna, Ekvadora, Kolumbija, Meksika
Levadīšanas veids   Levadīšanas veids :Amoxicillin sodium / clavulanic acid     
Voie
Intravenozi
Intravenoza infūzija
Intravenoza infūzija

  Mentions Légales