Poslední aktualizace :
03/02/2026
Antibiotikum   Amoxicillin sodium / clavulanic acid  
injekce
Perorální roztok
Stabilita roztoků Stabilita směsí Faktory ovlivňující stabilitu Kompatibilita Způsoby aplikace Odkazy pdf
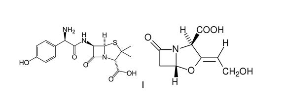
   Chemický vzorec  

Obchodní název   Obchodní název     

Trade names are indicative and excipients composition can be different depending on the country and manufacturers

Aktil MaÔarsko
Amoclan Saúdská Arábie
Amoklavin Turecko
Amoksiklav Polsko
Amoxclav Saúdská Arábie
Amplamox BrazÌlie
Augmentin äpanÏlsko, Belgie, Chile, Ekvádor, Francie, Itálie, Nizozemsko, Polsko, Rakousko, Saúdská Arábie, Spojené arabské emiráty, Švýcarsko, Turecko, Velká Británie, ÿecko
Betamox Portugalsko
Clavamox Rakousko
Clavicin Malajsie, Venezuela
Clavulin BrazÌlie
Co-amoxi Švýcarsko
Co-Amoxicillin Švýcarsko
Curam nový Zéland, Saúdská Arábie
Darzitil Argentina
Dibional Argentina
Julmentin Spojené arabské emiráty
Novamox BrazÌlie
Sulbamox Chile
Tarometin Polsko
Trifamox Argentina, Ekvádor, Kolumbie, Mexiko
Způsoby aplikace   Způsoby aplikace :Amoxicillin sodium / clavulanic acid     
Voie
intravenÛznÏ
Intravenózní infúze
Intravenózní infúze

  Mentions Légales