Viimeisin päivitys :
16/12/2025
Antibiootit   Amoxicillin sodium / clavulanic acid  
Injektioneste
Oraaliliuos
Stabilius liuoksessa Stabilius seoksissa Tekijät, jotka vaikuttavat stabiliuteen Yhteensopivuus Antotapa Viitteet pdf
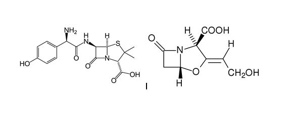
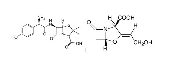
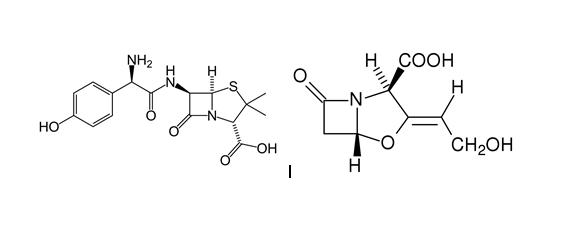
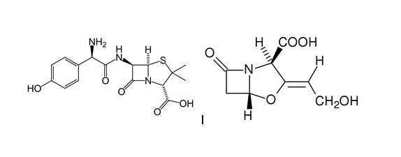
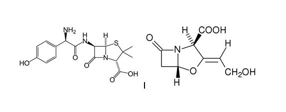
   Kemiallinen rakenne  

Kauppanimi   Kauppanimi     

Trade names are indicative and excipients composition can be different depending on the country and manufacturers

Aktil Unkari
Amoclan Saudi-Arabia
Amoklavin Turkki
Amoksiklav Puola
Amoxclav Saudi-Arabia
Amplamox Brasilia
Augmentin Belgia, Chile, Ecuador, Espanja, Hollanti, Iso-Britannia, Italia, Itävalta, Kreikka, Puola, Ranska, Saudi-Arabia, Sveitsi, Turkki, Yhdistyneet arabiemiirikunnat
Betamox Portugali
Clavamox Itävalta
Clavicin Malesia, Venezuela
Clavulin Brasilia
Co-amoxi Sveitsi
Co-Amoxicillin Sveitsi
Curam New Zealand, Saudi-Arabia
Darzitil Argentiina
Dibional Argentiina
Julmentin Yhdistyneet arabiemiirikunnat
Novamox Brasilia
Sulbamox Chile
Tarometin Puola
Trifamox Argentiina, Ecuador, Kolumbia, Meksiko
Antotapa   Antotapa :Amoxicillin sodium / clavulanic acid     
Voie
Intravenoosi
Intravenoosi-infuusio
Intravenoosi-infuusio

  Mentions Légales