Siste oppdatering :
05/12/2025
Antibiotika   Amoxicillin sodium / clavulanic acid  
Injeksjon
Mikstur
Oppløsningsstabilitet Stabilitet i blandinger Faktorer som påvirker stabiliteten Kompatibilitet Administrasjonsmåte Referanser pdf
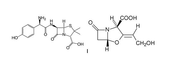
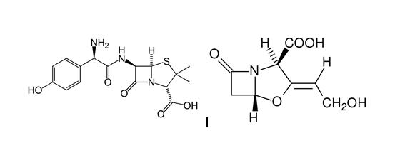
   Kjemisk struktur  

Handelsnavn   Handelsnavn     

Handelsnavn er veiledende og sammensetning av hjelpestoffer kan være forskjellig avhengig av land og produsent

Aktil Ungarn
Amoclan Saudi-Arabia
Amoklavin Tyrkia
Amoksiklav Polen
Amoxclav Saudi-Arabia
Amplamox Brasil
Augmentin Belgia, Chile, De forente arabiske emirater, Ecuador, Frankrike, Hellas, Italia, Nederland, Polen, Saudi-Arabia, Spania, Storbritannia, Sveits, Tyrkia, Østerrike
Betamox Portugal
Clavamox Østerrike
Clavicin Malaysia, Venezuela
Clavulin Brasil
Co-amoxi Sveits
Co-Amoxicillin Sveits
Curam New Zealand, Saudi-Arabia
Darzitil Argentina
Dibional Argentina
Julmentin De forente arabiske emirater
Novamox Brasil
Sulbamox Chile
Tarometin Polen
Trifamox Argentina, Colombia, Ecuador, Mexico
Administrasjonsmåte   Administrasjonsmåte :Amoxicillin sodium / clavulanic acid     
Voie
Intravenøs
Intravenøs infusjon
Intravenøs infusjon

  Mentions Légales