Cập nhật lần cuối :
31/03/2026
Thuốc khử cực giống cura   Cisatracurium besylate  
Dạng tiêm
Tính ổn định của các dung dịch Độ ổn định khi trộn lẫn Những yếu tố ảnh hưởng đến độ ổn định Khả năng tương thích Đường dùng Tài liệu tham khảo Pdf
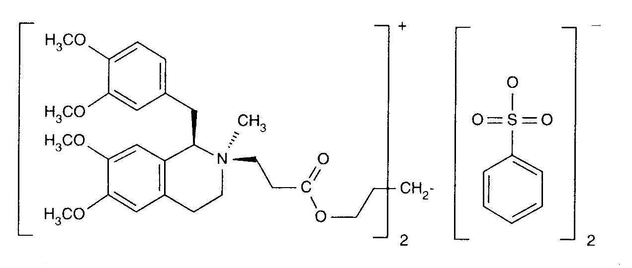
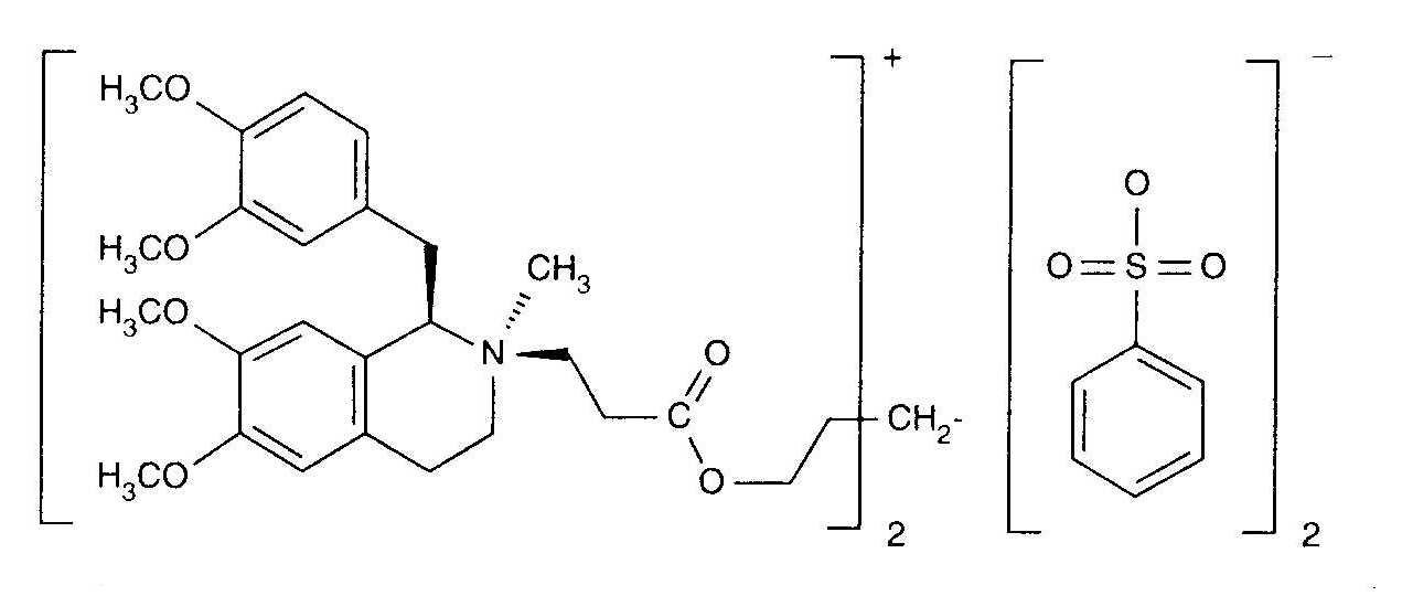
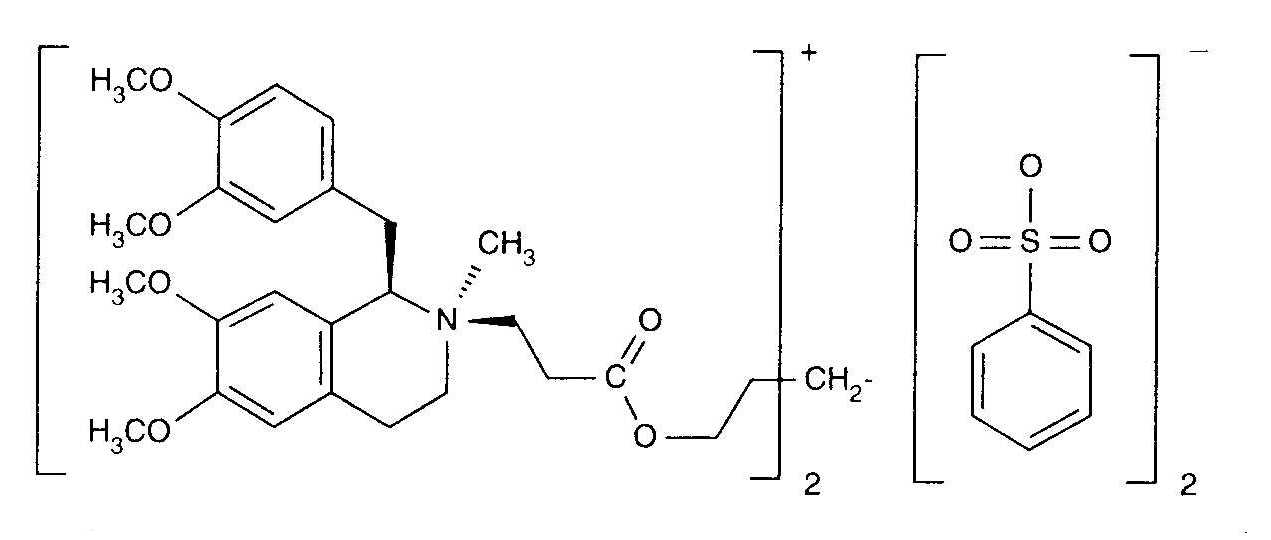
   Cấu trúc hóa học  

Tên thương mại   Tên thương mại     

Các tên thương mại được cung cấp và thành phần tá dược có thể khác nhau giữa các quốc gia và các hãng dược

Bensitrak Mexico
Besilato de cisatracurio
Cicuryl Mexico
Cirium Colombia
Cis Atracure
Cisatracurio Brazil, Chile, Colombia, Ecuador, Peru, Tây Ban Nha, Ý
Cisatracurium Anh, Bỉ, Canada, Hungary, Ireland, Phần Lan, Pháp, Tunisia, Đức
Nimbex Ả Rập, Ả Rập Saudi, Anh, Áo, Ba Lan, Bỉ, Bồ Đào Nha, Canada, Chile, Ecuador, Hà Lan, Hoa Kỳ, Hungary, Hy Lạp, Iran, Ireland, Luxembourg, Malaysia, Mexico, Na Uy, Peru, Phần Lan, Pháp, Slovenia, Tây Ban Nha, Thổ Nhĩ Kỳ, Thụy Điển, Tunisia, United Arab Emirates, Venezuela, Ý, Đan Mạch, Đức
Nimbium Brazil, Colombia
Tính ổn định của các dung dịch   Dạng tiêm   Tính ổn định của các dung dịch : Cisatracurium besylate     
Bao bì Dung môi Nồng độ Nhiệt độ Bảo quản Thời gian ổn định Mục lục
Thủy tinh Không 10 mg/ml 2-8°C Tránh ánh sáng
450 Ngày
4769
Cấp độ bằng chứng A+

Thủy tinh Không 2 & 10 mg/ml 23°C Có hoặc không có tiếp xúc với ánh sáng
45 Ngày
533
Cấp độ bằng chứng A+

Thủy tinh Không 2 & 10 mg/ml 4°C Tránh ánh sáng
90 Ngày
533
Cấp độ bằng chứng A+

Nhựa polyvinyl chloride NaCl 0,9% 0,1 & 2 & 5 mg/ml 4°C Tránh ánh sáng
30 Ngày
533
Cấp độ bằng chứng A+

Nhựa polyvinyl chloride NaCl 0,9% 5 mg/ml 23°C Có hoặc không có tiếp xúc với ánh sáng
30 Ngày
533
Cấp độ bằng chứng A+

Nhựa polyvinyl chloride Glucose 5% 0,1 & 2 & 5 mg/ml 4°C Tránh ánh sáng
30 Ngày
533
Cấp độ bằng chứng A+

Nhựa polyvinyl chloride Glucose 5% 5 mg/ml 23°C Có hoặc không có tiếp xúc với ánh sáng
30 Ngày
533
Cấp độ bằng chứng A+

Nhựa polyolefin NaCl 0,9% 0,1 mg/ml 23-27°C Không rõ
48 Giờ
4358
Cấp độ bằng chứng C+

Nhựa polyolefin NaCl 0,9% 0,1 mg/ml 4-6°C Không rõ
7 Ngày
4358
Cấp độ bằng chứng C+

Nhựa polyolefin Glucose 5% 0,1 mg/ml 23-27°C Không rõ
24 Giờ
4358
Cấp độ bằng chứng C+

Nhựa polyolefin Glucose 5% 0,1 mg/ml 4-6°C Không rõ
7 Ngày
4358
Cấp độ bằng chứng C+

ống tiêm polypropylene NaCl 0,9% 0,1 mg/ml 23-27°C Không rõ
2 Ngày
4358
Cấp độ bằng chứng C+

ống tiêm polypropylene NaCl 0,9% 0,1 mg/ml 4-6°C Không rõ
7 Ngày
4358
Cấp độ bằng chứng C+

ống tiêm polypropylene Glucose 5% 0,1 mg/ml 23-27°C Không rõ
2 Ngày
4358
Cấp độ bằng chứng C+

ống tiêm polypropylene Glucose 5% 0,1 mg/ml 4-6°C Không rõ
2 Ngày
4358
Cấp độ bằng chứng C+

ống tiêm polypropylene Không 2 mg/ml 23-27°C Không rõ
7 Ngày
4358
Cấp độ bằng chứng C+

ống tiêm polypropylene Không 2 mg/ml 23°C Có hoặc không có tiếp xúc với ánh sáng
30 Ngày
533
Cấp độ bằng chứng A+

ống tiêm polypropylene Không 2 mg/ml 4-6°C Không rõ
7 Ngày
4358
Cấp độ bằng chứng C+

ống tiêm polypropylene Không 2 mg/ml 4°C Tránh ánh sáng
30 Ngày
533
Cấp độ bằng chứng A+

ống tiêm polypropylene Không 5 mg/ml 23-27°C Không rõ
7 Ngày
4358
Cấp độ bằng chứng C+

ống tiêm polypropylene Không 5 mg/ml 4-6°C Không rõ
7 Ngày
4358
Cấp độ bằng chứng C+


  Mentions Légales