آخر تحديث :
31/03/2026
 أدوية علاجيه   Cisatracurium besylate  
حقن
الاستقرار في حلول استقرار مخاليط العوامل التي تؤثر على الاستقرار التوافق طريقة التعاطي مراجع pdf
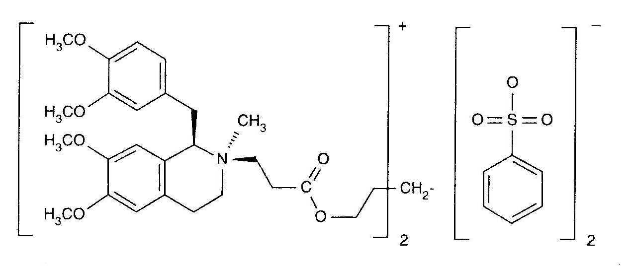
   التركيب الكيميائي  

حجز الاسم التجاري   حجز الاسم التجاري     

تحذير الأسماء التجاريه المختلفه قد تحتوي علي محتوي إضافات مختلفة حسب الدوله و المعمل

Bensitrak المكسيك
Besilato de cisatracurio
Cicuryl المكسيك
Cirium كولومبيا
Cis Atracure
Cisatracurio إسبانيا, إيطاليا, الإكوادور, البرازيل, بيرو, تشيلي, كولومبيا
Cisatracurium ألمانيا, ايرلندا, بريطانيا العظمي, بلجيكا, تونس, فرنسا, فنلندا, كندا, هنغاريا
Nimbex ألمانيا, إسبانيا, إيران, إيطاليا, الإكوادور, الإمارات العربية المتحدة, البرتغال, الدنمارك, السويد, العربية السعودية, المكسيك, النرويج, النمسا, الولايات المتحدة, ايرلندا, بريطانيا العظمي, بلجيكا, بولندا, بيرو, تركيا, تشيلي, تونس, سلوفينيا, فرنسا, فنزويلا, فنلندا, كندا, لوكسمبورغ, ماليزيا, مصر, هنغاريا, هولندا, يونان
Nimbium البرازيل, كولومبيا
الاستقرار في حلول   حقن   الاستقرار في حلول : Cisatracurium besylate     
حاوية مذيب تركيز درجة الحرارة تخزين مدة الاستقرار مراجع
زجاج لا شيء 10 mg/ml 2-8°C بعيدا عن الضوء
450 يوم
4769
 A+ مستوى الأدلة

زجاج لا شيء 2 & 10 mg/ml 23°C مع أو بدون ضوء
45 يوم
533
 A+ مستوى الأدلة

زجاج لا شيء 2 & 10 mg/ml 4°C بعيدا عن الضوء
90 يوم
533
 A+ مستوى الأدلة

البولي فينيل كلوريد كلوريد الصوديوم 0.9% 0,1 & 2 & 5 mg/ml 4°C بعيدا عن الضوء
30 يوم
533
 A+ مستوى الأدلة

البولي فينيل كلوريد كلوريد الصوديوم 0.9% 5 mg/ml 23°C مع أو بدون ضوء
30 يوم
533
 A+ مستوى الأدلة

البولي فينيل كلوريد الجلوكوز %5 0,1 & 2 & 5 mg/ml 4°C بعيدا عن الضوء
30 يوم
533
 A+ مستوى الأدلة

البولي فينيل كلوريد الجلوكوز %5 5 mg/ml 23°C مع أو بدون ضوء
30 يوم
533
 A+ مستوى الأدلة

البولي فين كلوريد الصوديوم 0.9% 0,1 mg/ml 23-27°C لم يتم تحديد
48 ساعة
4358
C+ مستوى الأدلة

البولي فين كلوريد الصوديوم 0.9% 0,1 mg/ml 4-6°C لم يتم تحديد
7 يوم
4358
C+ مستوى الأدلة

البولي فين الجلوكوز %5 0,1 mg/ml 23-27°C لم يتم تحديد
24 ساعة
4358
C+ مستوى الأدلة

البولي فين الجلوكوز %5 0,1 mg/ml 4-6°C لم يتم تحديد
7 يوم
4358
C+ مستوى الأدلة

محقنة البولي بروبلين كلوريد الصوديوم 0.9% 0,1 mg/ml 23-27°C لم يتم تحديد
2 يوم
4358
C+ مستوى الأدلة

محقنة البولي بروبلين كلوريد الصوديوم 0.9% 0,1 mg/ml 4-6°C لم يتم تحديد
7 يوم
4358
C+ مستوى الأدلة

محقنة البولي بروبلين الجلوكوز %5 0,1 mg/ml 23-27°C لم يتم تحديد
2 يوم
4358
C+ مستوى الأدلة

محقنة البولي بروبلين الجلوكوز %5 0,1 mg/ml 4-6°C لم يتم تحديد
2 يوم
4358
C+ مستوى الأدلة

محقنة البولي بروبلين لا شيء 2 mg/ml 23-27°C لم يتم تحديد
7 يوم
4358
C+ مستوى الأدلة

محقنة البولي بروبلين لا شيء 2 mg/ml 23°C مع أو بدون ضوء
30 يوم
533
 A+ مستوى الأدلة

محقنة البولي بروبلين لا شيء 2 mg/ml 4-6°C لم يتم تحديد
7 يوم
4358
C+ مستوى الأدلة

محقنة البولي بروبلين لا شيء 2 mg/ml 4°C بعيدا عن الضوء
30 يوم
533
 A+ مستوى الأدلة

محقنة البولي بروبلين لا شيء 5 mg/ml 23-27°C لم يتم تحديد
7 يوم
4358
C+ مستوى الأدلة

محقنة البولي بروبلين لا شيء 5 mg/ml 4-6°C لم يتم تحديد
7 يوم
4358
C+ مستوى الأدلة


  Mentions Légales